【药物名称】
化学结构式(Chemical Structure):
参考文献No.40740
标题:6-Carboxamido dihydropyran derivs.
作者:Smith, P.; Sollis, S.; Cherry, P.; Howes, P. (Biota Scientific Management Pty Ltd.)
来源:US 5990156; WO 9636628
合成路线图解说明:

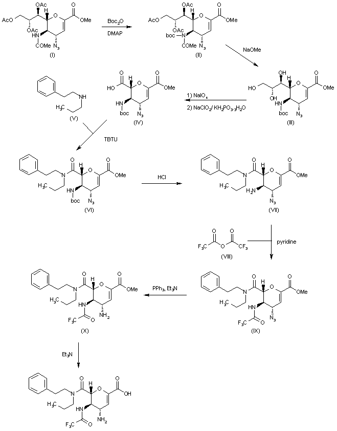
Introduction of a Boc protecting group on derivative (I) by treatment with tert-butyldicarbonate and DMAP in dioxane affords 5-N-Boc derivative (II), which is then deacetylated by reaction with NaOMe in MeOH to provide compound (III). Conversion of trihydroxy derivative (III) into carboxylic acid (IV) is performed by first oxidation with sodium periodate in MeOH/H2O followed by treatment with sodium chlorite/potassium dihydrogen orthophosphate in tert-BuOH. Coupling of (IV) with secondary amine (V) by means of TBTU in THF yields phenethylpropyl carbamoyl derivative (VI), whose Boc group is removed by means of HCl in dioxane to give primary amine (VII). Condensation of (VII) with trifluoroacetic anhydride (VIII) in pyridine furnishes trifluoroacetylamino derivative (IX), whose azide group is reduced by means of PPh3 and Et3N in THF/H2O to yield 4-amino derivative (X). Finally, the desired product is obtained by saponification of the methyl ester group of (X) by heating with Et3N in H2O.

参考文献No.612508
标题:Sialidase inhibitors related to zanamivir. Further SAR studies of 4-amino-4H-pyran-2-carboxylic acid-6-propylamides
作者:Wyatt, P.G.; Coomber, B.A.; Evans, D.N.; Jack, T.I.; Fulton, H.E.; Wonacott, A.J.; Colman, P.; Varghese, J.
来源:Bioorg Med Chem Lett 2001,11(5),669
合成路线图解说明:

Introduction of a Boc protecting group on derivative (I) by treatment with tert-butyldicarbonate and DMAP in dioxane affords 5-N-Boc derivative (II), which is then deacetylated by reaction with NaOMe in MeOH to provide compound (III). Conversion of trihydroxy derivative (III) into carboxylic acid (IV) is performed by first oxidation with sodium periodate in MeOH/H2O followed by treatment with sodium chlorite/potassium dihydrogen orthophosphate in tert-BuOH. Coupling of (IV) with secondary amine (V) by means of TBTU in THF yields phenethylpropyl carbamoyl derivative (VI), whose Boc group is removed by means of HCl in dioxane to give primary amine (VII). Condensation of (VII) with trifluoroacetic anhydride (VIII) in pyridine furnishes trifluoroacetylamino derivative (IX), whose azide group is reduced by means of PPh3 and Et3N in THF/H2O to yield 4-amino derivative (X). Finally, the desired product is obtained by saponification of the methyl ester group of (X) by heating with Et3N in H2O.

参考文献No.639180
标题:Synthesis and influenza virus sialidase inhibitory activity of analogues of 4-guanidino-Neu5Ac2en (GG167) with modified 5-substituents
作者:Smith, P.W.; et al.
来源:Eur J Med Chem 1996,31(2),143
合成路线图解说明:

Introduction of a Boc protecting group on derivative (I) by treatment with tert-butyldicarbonate and DMAP in dioxane affords 5-N-Boc derivative (II), which is then deacetylated by reaction with NaOMe in MeOH to provide compound (III). Conversion of trihydroxy derivative (III) into carboxylic acid (IV) is performed by first oxidation with sodium periodate in MeOH/H2O followed by treatment with sodium chlorite/potassium dihydrogen orthophosphate in tert-BuOH. Coupling of (IV) with secondary amine (V) by means of TBTU in THF yields phenethylpropyl carbamoyl derivative (VI), whose Boc group is removed by means of HCl in dioxane to give primary amine (VII). Condensation of (VII) with trifluoroacetic anhydride (VIII) in pyridine furnishes trifluoroacetylamino derivative (IX), whose azide group is reduced by means of PPh3 and Et3N in THF/H2O to yield 4-amino derivative (X). Finally, the desired product is obtained by saponification of the methyl ester group of (X) by heating with Et3N in H2O.

Drug Information Express,Drug R&D,Chemical Database,Patent Search.
Copyright © 2006-2026 Drug Future. All rights reserved.Contact Us