【药物名称】BIO-5192
化学结构式(Chemical Structure):
参考文献No.47881
标题:Cell adhesion inhibitors
作者:Lee, W.-C.; Scott, D.; Cornebise, M.; Petter, R. (Biogen Idec Inc.)
来源:EP 1265606; JP 2003506491; US 6630503; WO 0112186
合成路线图解说明:

2-N-(Benzyloxycarbonyl)-L-2,4-diaminobutyric acid (I) is esterified by means of SOCl2 in MeOH to afford the corresponding methyl ester (II). Subsequent coupling of (II) with N-Boc-N-methyl-L-leucine (III) leads to dipeptide (IV). The N-benzyloxycarbonyl group of (IV) is removed by catalytic hydrogenation over Pd/C to furnish amine (V), which is further acylated with N-benzyloxycarbonyl-L-proline succinimidyl ester (VI) yielding tripeptide (VII). Then, acidic cleavage of the N-Boc protecting group (VII) produces (VIII).

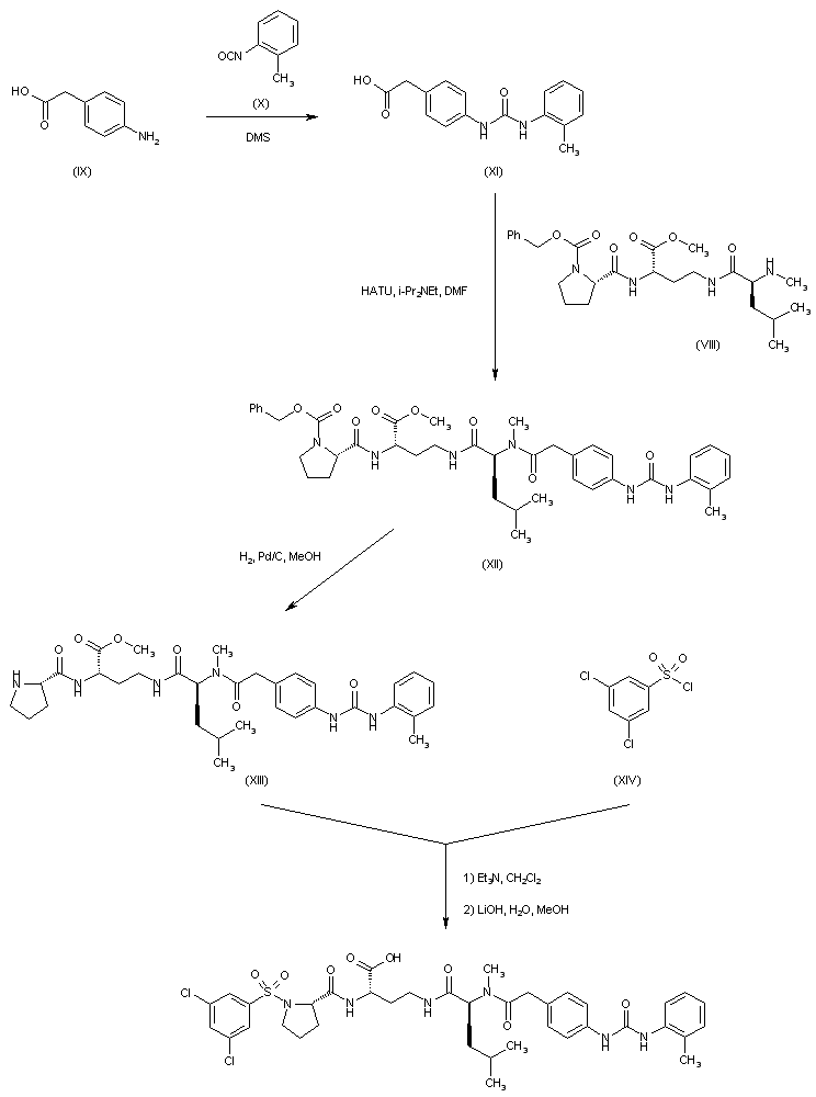
合成路线图解说明:

Coupling of p-aminophenylacetic acid (IX) with o-tolyl isocyanate (X) produces urea (XI). This is subsequently condensed with the intermediate tripeptide (VIII) in the presence of HATU to yield amide (XII). Hydrogenolysis of the N-benzyloxycarbonyl group of (XII) then gives amine (XIII). Finally, acylation of amine (XIII) with 3,5-dichlorobenzensulfonyl chloride (XIV), followed by alkaline hydrolysis of the methyl ester group furnishes the title compound.

Drug Information Express,Drug R&D,Chemical Database,Patent Search.
Copyright © 2006-2026 Drug Future. All rights reserved.Contact Us