【药物名称】RPR-203494
化学结构式(Chemical Structure):
参考文献No.38024
标题:Imidazolyl-cyclic acetals
作者:Halley, F.; Porter, B.; Bamborough, P.L.; Lewis, R.A.; Ratcliffe, A.J.; Wallace, P.A.; McLay, I.M.; McKenna, J.M.; Lythgoe, D.J.; Collis, A.J. (Rh鬾e-Poulenc Rorer Ltd.)
来源:EP 0988301; WO 9856788
合成路线图解说明:

The known diarylimidazole (I) was protected as the N-[2-(trimethylsilyl)ethoxy]methyl derivative (II) by treatment with 2-(trimethylsilyl)ethoxymethyl chloride and NaH. Lithiation of (II) with BuLi at -78 C, followed by quenching with N-formylmorpholine (III) provided aldehyde (IV). This was converted to the dimethyl acetal (V) upon treatment with trimethyl orthoformate and p-toluenesulfonic acid. Further condensation of (V) with methyl 2,2-bis(hydroxymethyl)propionate (VI) produced the dioxane derivative (VII) as a mixture of cis and trans isomers. Basic hydrolysis of the methyl ester group of (VII) afforded the corresponding carboxylic acid. The desired trans isomer (VIII) was then isolated by selective precipitation of the acidified methanolic solution. Finally, coupling of (VIII) with morpholine (IX) using EDC and HOBt furnished the title amide.

合成路线图解说明:

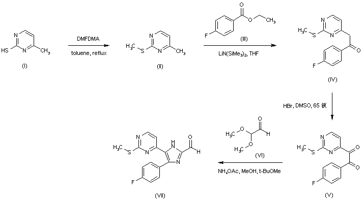
4-Methyl-2-(methylsulfanyl)pyrimidine (II) was prepared by methylation of mercaptopyrimidine (I) with dimethylformamide dimethylacetal (1). Condensation of the lithium anion of (II) with ethyl 4-fluorobenzoate (III) produced the diaryl ethanone (IV), which was further oxidized to diketone (V) by using HBr in DMSO. The target imidazole intermediate (VII) was then obtained by condensation of diketone (V) with glyoxal dimethylacetal (VI) in the presence of ammonium acetate.

合成路线图解说明:

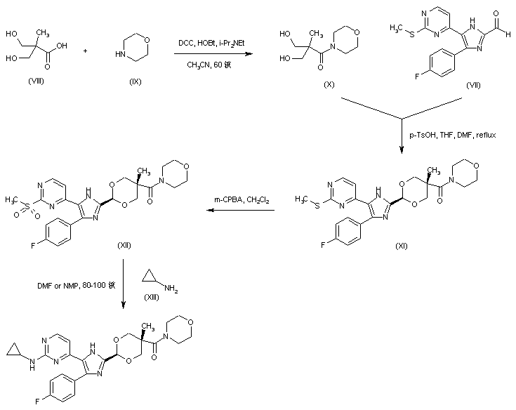
Condensation of 2,2-bis(hydroxymethyl)propionic acid (VIII) with morpholine (IX) in the presence of DCC and HOBt gave amide (X). The cyclic ketal (XI) was then obtained by acid-catalyzed condensation of imidazole aldehyde (VII) with diol (X) using azeotropic removal of water. Oxidation of the sulfide group of (XI) with meta-chloroperbenzoic acid furnished sulfone (XII). The methylsulfonyl group of (XII) was finally displaced with cyclopropylamine (XIII) to provide the title compound

参考文献No.613289
标题:RPR203494 a pyrimidine analogue of the p38 inhibitor RPR200765A with an improved in vitro potency
作者:Collis, A.J.; Foster, M.L.; Halley, F.; Maslen, C.; McLay, I.M.; Page, K.M.; Redford, E.J.; Souness, J.E.; Wilsher, N.E.
来源:Bioorg Med Chem Lett 2001,11(5),693
合成路线图解说明:

4-Methyl-2-(methylsulfanyl)pyrimidine (II) was prepared by methylation of mercaptopyrimidine (I) with dimethylformamide dimethylacetal (1). Condensation of the lithium anion of (II) with ethyl 4-fluorobenzoate (III) produced the diaryl ethanone (IV), which was further oxidized to diketone (V) by using HBr in DMSO. The target imidazole intermediate (VII) was then obtained by condensation of diketone (V) with glyoxal dimethylacetal (VI) in the presence of ammonium acetate.

合成路线图解说明:

Condensation of 2,2-bis(hydroxymethyl)propionic acid (VIII) with morpholine (IX) in the presence of DCC and HOBt gave amide (X). The cyclic ketal (XI) was then obtained by acid-catalyzed condensation of imidazole aldehyde (VII) with diol (X) using azeotropic removal of water. Oxidation of the sulfide group of (XI) with meta-chloroperbenzoic acid furnished sulfone (XII). The methylsulfonyl group of (XII) was finally displaced with cyclopropylamine (XIII) to provide the title compound

Drug Information Express,Drug R&D,Chemical Database,Patent Search.
Copyright © 2006-2026 Drug Future. All rights reserved.Contact Us