【药物名称】
化学结构式(Chemical Structure):
参考文献No.611041
标题:A simple and efficient approach for the synthesis of fluorinated and nonfluorinated octaethylporphyrin-based benzochlorins with variable lipophilicity. Their in vivo tumor uptake, and the preliminary in vitro photosensitizing
作者:Li, G.; Graham, A.; Potter, W.; Grossman, Z.D.; Oseroff, A.; Dougherty,T.J.; Pandey, R.K.
来源:J Org Chem 2001,66(4),1316
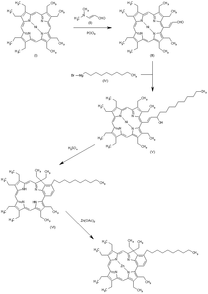
合成路线图解说明:

The reaction of octaethylporphyrin (I) with 3-(dimethylamino)acrolein (II) by means of POCl3 gives the 10-(2-formylvinyl)octaethylporphyrin (III), which is treated with decylmagnesium bromide (IV) in THF to yield the corresponding alcohol (V). The cyclization of (V) in concentrated H2SO4 affords the decylbenzochlorin (VI), which is finally treated with zinc acetate in methanol/dichloromethane to provide the target zinc complex.

Drug Information Express,Drug R&D,Chemical Database,Patent Search.
Copyright © 2006-2026 Drug Future. All rights reserved.Contact Us