【药物名称】
化学结构式(Chemical Structure):
参考文献No.611036
标题:Convenient synthesis and diversification of dehydroalaninyl phosphinic peptide analogues
作者:Matziari, M.; Georgiadis, D.; Dive, V.; Yiotakis, A.
来源:Org Lett 2001,3(5),659
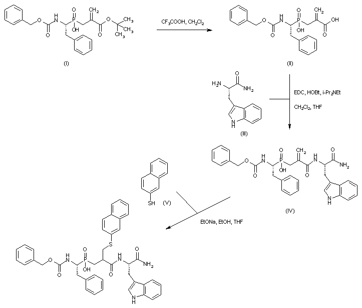
合成路线图解说明:

The title compound was prepared starting from the phosphinic dipeptide (I). Deprotection of the tert-butyl ester of (I) under acidic conditions afforded the carboxylic acid (II). This was then coupled with tryptophan amide (III) using EDC and HOBt to produce (IV). Finally, conjugate addition of 2-naphthalenethiol (V) to (IV) in the presence of NaOEt furnished the target thioether.

Drug Information Express,Drug R&D,Chemical Database,Patent Search.
Copyright © 2006-2026 Drug Future. All rights reserved.Contact Us