【药物名称】A-192558
化学结构式(Chemical Structure):
参考文献No.611255
标题:Design, synthesis, and structural analysis of influenza neuraminidase inhibitors containing pyrrolidine cores
作者:Wang, G.T.; Chen, Y.; Wang, S.; Gentles, R.; Sowin, T.; Kati, W.; Muchmore, S.; Giranda, V.; Stewart, K.; Sham, H.; Kempf, D.; Laver, W.G.
来源:J Med Chem 2001,44(8),1192
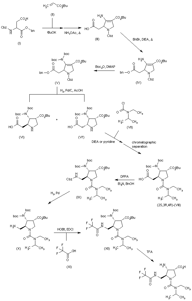
合成路线图解说明:

Condensation between benzyl N-Cbz-alpha-glutamate (I) and tert-butyl acrylate (II) in THF in the presence of tert-BuOK followed by treatment with ammonium acetate in refluxing methanol provides pyrroline acetic acid (III), which is converted into the corresponding benzyl ester (IV) by reaction with benzyl bromide and DIEA in refluxing CH2Cl2. Protection of (IV) with Boc2O and DMAP in CH2Cl2 yields the bis-Boc derivative (V), which is subjected to hydrogenation over Pd/C in HOAc to afford a mixture diastereomers (VI) and (VI? which are inseparable chromatographically. The mixture of (VI)/(VI? is subjected to reaction with carbamoyl chloride (VII) in CH2Cl2 in the presence of DIEA or pyridine to give the corresponding N-ethyl-N-isopropylureas from which diastereomer (2S,3R,4R)-(VIII) is chromatographically isolated. Derivative (2S,3R,4R)-(VIII) is subjected to Curtius rearrangement using diphenylphosphoryl azide (DPPA) and Et3N in toluene in the presence of benzyl alcohol to give the Cbz-protected amine (IX), which is then deprotected by hydrogenation over Pd in formic acid/MeOH to yield free amine (X). Coupling of (X) with trifluoroacetic acid (XI) by means of EDCI and HOBt in CH2Cl2 furnishes acetamide (XII), which is finally converted into the desired product by removal of the corresponding protecting groups with TFA in CH2Cl2.

Drug Information Express,Drug R&D,Chemical Database,Patent Search.
Copyright © 2006-2026 Drug Future. All rights reserved.Contact Us