【药物名称】
化学结构式(Chemical Structure):
参考文献No.608206
标题:An expedient synthesis of the amide analog of the potent antifungal lipopeptidolactone FR901469
作者:Hashimoto, S.; Hashimoto, M.; Tanaka, A.; Fujie, A.; Shigematsu, N.; Barrett, D.
来源:Tetrahedron Lett 2001,42(4),703
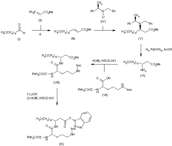
合成路线图解说明:

Wittig reaction between aldehyde (I) and methyl(triphenylphosphoranylidene triphenyl)-acetate (II) in refluxing toluene provides E-olefin (III), which is then subjected to reaction with lithium derivative (IV) in THF to afford adduct (V). Benzyl groups of (V) are removed by hydrogenation over Pd(OH)2 in HOAc:MeOH:EtOAc to furnish amine (VI), which is then coupled to Z-Orn(Boc)-OH using 1-ethyl-3-dimethylaminopropylcarbodiimide (WSCD.HCl) and HOBt in CH2Cl2 to give beta-amino acid derivative (VIII). Saponification of the methyl ester group in (VIII) by means of LiOH, followed by condensation with HOBt by means of WSCD.HCl, yields activated ester (IX).

合成路线图解说明:

Natural peptide FR901469 (X) is incubated with Actinoplanes utahensis IFO-13244 in PBS to afford linear peptide (XI), which is then converted into precursor (XII) by coupling with activated intermediate (IX) by means of DIEA in DMF followed by removal of the Z protecting group by hydrogenation over Pd/C. Finally, the target product is obtained by macrocyclization of (XII) by means of HOBt and WSCD.HCl followed by Boc removal with neat TFA.

Drug Information Express,Drug R&D,Chemical Database,Patent Search.
Copyright © 2006-2026 Drug Future. All rights reserved.Contact Us