【药物名称】RPR-202868
化学结构式(Chemical Structure):
参考文献No.47758
标题:Streptogramin derivs., production thereof and compsns. containing the same
作者:Barriere, J.-C.; Pantel, G.; Bacqu? E.; Doerflinger, G.; Dutruc-Rosset, G. (Aventis Pharma SA)
来源:EP 1204675; FR 2796949; US 6541451; WO 0110895
合成路线图解说明:

Reduction of the keto group of 5-delta-methylene pristinamycin IA (I) by means of NaBH4 in the presence of CeCl3 provided the allyl alcohol (II). Subsequent chlorination of (II) with SOCl2, furnished a mixture of compounds containing the 5-delta-(chloromethyl) (III) and the 5-gamma-chloro-5-delta-methylene (IV) derivatives. Treatment of the crude mixture with morpholine (V) in refluxing acetonitrile yielded the title 5-delta-morpholinomethyl analogue.

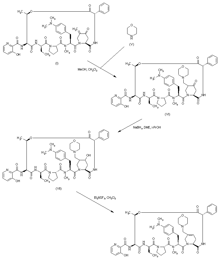
合成路线图解说明:

In an alternative method, Michael addition of morpholine (V) to the unsaturated ketone (I) gave adduct (VI). Subsequent ketone reduction in (VI) with NaBH4 provided the corresponding alcohol (VII) as a diastereomeric mixture. Dehydration of alcohol (VII), upon treatment with diethylaminosulfur trifluoride, then yielded the title compound.

参考文献No.646054
标题:Design and synthesis of RPR202868, the pristinamycin I component of RPR202868/RPR132552, a new oral streptogramin
作者:Barriere, J.C.; Bacque, E.; Puchault, G.; Dutruc-Rooset, G.; Doerflinger, G.; Berthaud, N.
来源:41st Intersci Conf Antimicrob Agents Chemother (Dec 16 2001, Chicago) 2001,Abst F-359
合成路线图解说明:

Reduction of the keto group of 5-delta-methylene pristinamycin IA (I) by means of NaBH4 in the presence of CeCl3 provided the allyl alcohol (II). Subsequent chlorination of (II) with SOCl2, furnished a mixture of compounds containing the 5-delta-(chloromethyl) (III) and the 5-gamma-chloro-5-delta-methylene (IV) derivatives. Treatment of the crude mixture with morpholine (V) in refluxing acetonitrile yielded the title 5-delta-morpholinomethyl analogue.

Drug Information Express,Drug R&D,Chemical Database,Patent Search.
Copyright © 2006-2026 Drug Future. All rights reserved.Contact Us