【药物名称】QAB-205, NVP-QAB-205, NVP-QAB-205-AA
化学结构式(Chemical Structure):
参考文献No.47638
标题:Purine derivs. inhibitors of tyrosine protein kinase syk
作者:Menear, K.A.; Mattes, H.; Collingwood, S.P.; Walker, C.V.; Hayler, J.; Le Grand, D.M.; Cockcroft, X.-L. (Novartis AG; Novartis-Erfindungen VmbH)
来源:EP 1200435; WO 0109134
合成路线图解说明:

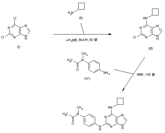
2,6-Dichloropurine (I) is condensed with cyclobutylamine (II) in the presence of diisopropylethylamine in hot butanol to produce the 6-cyclobutylamino purine (III). The 2-chloro group of purine (III) is then displaced with 4-amino-N-methylacetanilide (IV) in N-methylpyrrolidone at 145 C to furnish the target diamino purine derivative.

参考文献No.686796
标题:Novel 2,6-disubstituted purines - The synthesis of potent and selective inhibitors of the protein tyrosine kinase Syk
作者:Bammerlin, H.; Le Grand, D.; Hayler, J.; et al.
来源:Drugs Fut 2002,27(Suppl. A),
合成路线图解说明:

2,6-Dichloropurine (I) is condensed with cyclobutylamine (II) in the presence of diisopropylethylamine in hot butanol to produce the 6-cyclobutylamino purine (III). The 2-chloro group of purine (III) is then displaced with 4-amino-N-methylacetanilide (IV) in N-methylpyrrolidone at 145 C to furnish the target diamino purine derivative.

Drug Information Express,Drug R&D,Chemical Database,Patent Search.
Copyright © 2006-2026 Drug Future. All rights reserved.Contact Us