【药物名称】Lapatinib, 016, 572016, GW-2016, GW-572016
化学结构式(Chemical Structure):
参考文献No.39973
标题:Bicyclic heteroaromatic cpds. as protein tyrosine kinase inhibitors
作者:Guntrip, S.B.; Lackey, K.E.; Cockerill, G.S.; Carter, M.C.; Smith, K.J. (Glaxo Group Ltd.)
来源:EP 1047694; WO 9935146
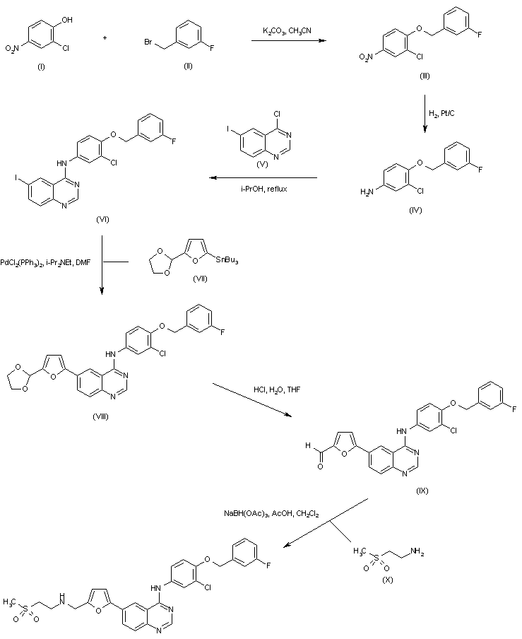
合成路线图解说明:

Williamson's ether synthesis between 2-chloro-4-nitrophenol (I) and 3-fluorobenzyl bromide (II) afforded ether (III). The nitro group of (III) was then reduced to the aniline (IV) by means of catalytic hydrogenation over Pt/C. Condensation of aniline (IV) with 4-chloro-6-iodoquinazoline (V) furnished the diaryl amine (VI). Subsequent Stille coupling between iodide (VI) and 5-dioxolanyl-2-(tributylstannyl)furan (VII) gave rise to adduct (VIII), which was further subjected to acid hydrolysis of the cyclic ketal to yield aldehyde (IX). Finally, reductive amination of (IX) with 2-(methanesulfonyl)ethylamine (X) in the presence of sodium triacetoxyborohydride provided the title compound.

Drug Information Express,Drug R&D,Chemical Database,Patent Search.
Copyright © 2006-2026 Drug Future. All rights reserved.Contact Us