【药物名称】
化学结构式(Chemical Structure):
参考文献No.610424
标题:New 3-[4-(aryl)piperazin-1-yl]-1-(benzo[b]thiophen-3-yl)propane derivatives with dual action at 5-HT1A serotonin receptors and serotonin transporter as a new class of antidepressants
作者:Mart韓ez, J.; Perez, S.; Oficialdegui, A.M.; Heras, B.; Orus, L.; Villanueva, H.; Palop, J.A.; Roca, J.; Mourelle, M.; Bosch, A.; Del Castillo, J.C.; Lasheras, B.; Tordera, R.; del Rio, J.; Monge, A.
来源:Eur J Med Chem 2001,36(1),55
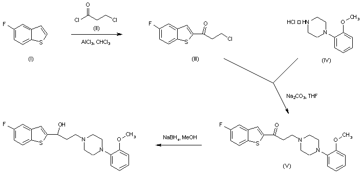
合成路线图解说明:

Friedel-Crafts acylation of 5-fluorobenzothiophene (I) with 3-chloropropionyl chloride (II) in the presence of AlCl3 furnished the chloroketone (III). This was then condensed with N-(2-methoxyphenyl)piperazine (IV) to afford the piperazinyl ketone (V). Reduction of the keto group of (V) with NaBH4 then gave the title alcohol.

Drug Information Express,Drug R&D,Chemical Database,Patent Search.
Copyright © 2006-2026 Drug Future. All rights reserved.Contact Us