【药物名称】
化学结构式(Chemical Structure):
参考文献No.28738
标题:Aralkyl-1,2,4-oxadiazolidine-3,5-diones as antihyperglycemic agents
作者:Malamas, M.S.; Palka, C.L.; Gunawan, I. (American Home Products Corp.)
来源:US 5480896
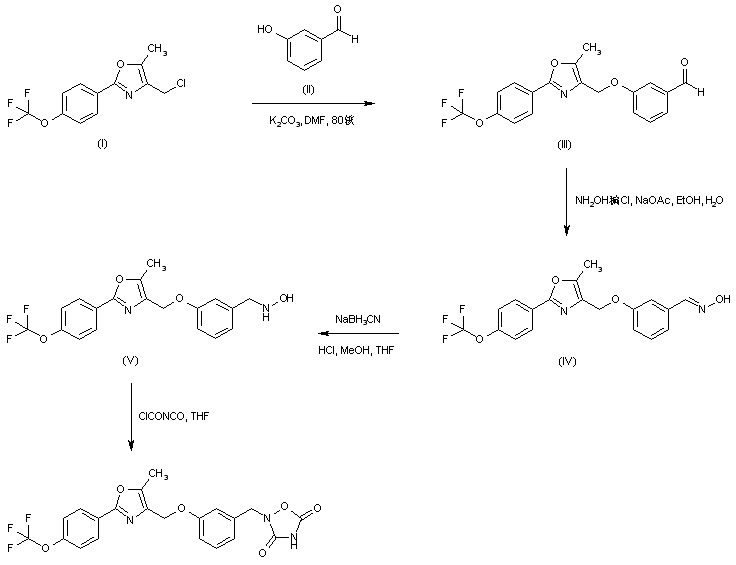
合成路线图解说明:

Condensation of the (chloromethyl)oxazole (I) with 3-hydroxybenzaldehyde (II) in the presence of K2CO3 afforded ether (III). The aldehyde group of (III) was then converted to oxime (IV) upon treatment with hydroxylamine hydrochloride and sodium acetate. Reduction of oxime (IV) with NaBH3CN produced the hydroxylamine (V). This was finally condensed with N-(chlorocarbonyl)isocyanate to produce the target oxadiazolidine dione.

参考文献No.610423
标题:Antihyperglycemic activity of new 1,2,4-oxadiazolidine-3,5-diones
作者:Malamas, M.S.; Sredy, J.; McCaleb, M.L.; Gunawan, I.; Mihan, B.; Sullivan, D.
来源:Eur J Med Chem 2001,36(1),31
合成路线图解说明:

Condensation of the (chloromethyl)oxazole (I) with 3-hydroxybenzaldehyde (II) in the presence of K2CO3 afforded ether (III). The aldehyde group of (III) was then converted to oxime (IV) upon treatment with hydroxylamine hydrochloride and sodium acetate. Reduction of oxime (IV) with NaBH3CN produced the hydroxylamine (V). This was finally condensed with N-(chlorocarbonyl)isocyanate to produce the target oxadiazolidine dione.

Drug Information Express,Drug R&D,Chemical Database,Patent Search.
Copyright © 2006-2026 Drug Future. All rights reserved.Contact Us