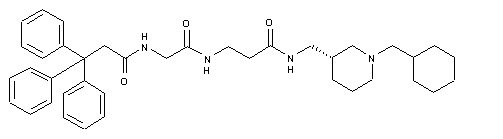
【药物名称】CPTP
化学结构式(Chemical Structure):
参考文献No.47389
标题:Novel amide derivs.
作者:Kimura, T.; Noguchi, K.; Otake, N.; Uchiyama, M.; Naya, A.; Sagara, Y.; Numazawa, T.; Fujikawa, T. (Banyu Pharmaceutical Co., Ltd.)
来源:EP 1213281; WO 0107406
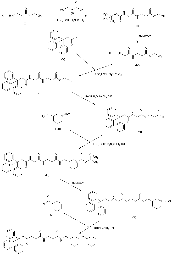
合成路线图解说明:

Coupling between ethyl 3-aminopropionate (I) and N-Boc-glycine (II) by means of EDC and HOBt affords the protected dipeptide (III). After acidic Boc group cleavage in (III), the N-deprotected dipeptide (IV) is acylated by 3,3,3-triphenylpropionic acid (V) to produce amide (VI). Saponification of the ethyl ester group of (VI) yields acid (VII). This is coupled with (R)-1-Boc-3-(aminomethyl)piperidine (VIII) to afford amide (IX), which is further subjected to acidic N-Boc group cleavage. The resultant piperidine derivative (X) is then reductively condensed with cyclohexanecarboxaldehyde (XI) in the presence of NaBH(OAc)3 to furnish the title compound.

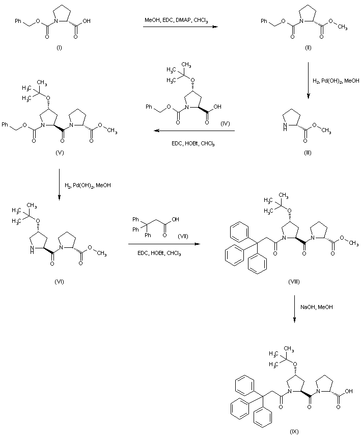
合成路线图解说明:

Esterification of N-benzyloxycarbonyl-D-proline (I) with MeOH in the presence of EDC, followed by deprotection of the resultant N-Cbz amino ester (II) with H2 and Pd(OH)2 leads to D-proline methyl ester (III). Subsequent coupling of (III) with N-benzyloxycarbonyl-O-t-butyl-L-4-trans-hydroxyproline (IV) yields the protected dipeptide (V). After removal of the N-benzyloxycarbonyl group of (V) by catalytic hydrogenolysis, the free amine (VI) is acylated by 3,3,3-triphenylpropionic acid (VII), producing amide (VIII). The methyl ester group of (VIII) is then hydrolyzed under alkaline conditions to furnish acid (IX).

合成路线图解说明:

Coupling of acid (IX) with (R)-3-(aminomethyl)-1-Boc-piperidine (X) gives the triamide (XI). Deprotection of both N-Boc and O-t-butyl groups of (XI) with trifluoroacetic acid affords (XII). Finally, reductive alkylation of piperidine (XII) with propionaldehyde in the presence of NaBH3CN/ZnCl2 provides the target compound.

Drug Information Express,Drug R&D,Chemical Database,Patent Search.
Copyright © 2006-2026 Drug Future. All rights reserved.Contact Us