【药物名称】Y-40018
化学结构式(Chemical Structure):
参考文献No.40524
标题:IgE antibody production inhibitors and autoimmune diseases inhibitors
作者:Kobayashi, F.; Naito, K.; Yoshikawa, T.; Kuwahara, S.; Imada, T.; Komorita, N. (Mitsubishi Pharma Corp.)
来源:EP 1062949; US 6528514; WO 9945928
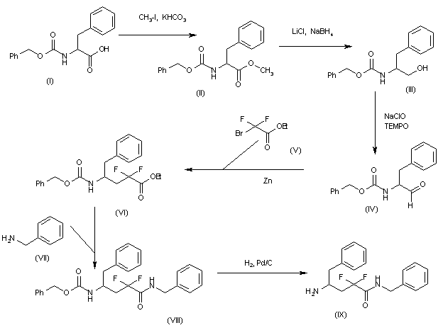
合成路线图解说明:

The intermediate 4-amino-N-benzyl-2,2-difluoro-5-phenylpentanamide (IX) has been obtained as follows. The esterification of N-(benzyloxycarbonyl)-DL-phenylalanine (I) with methyl iodide and KHCO3 in DMF gives the corresponding methyl ester (II), which is reduced with LiCl and NaBH4 in THF to yield protected DL-phenylalaninol (III). The oxidation of (III) by means of 2,2,6,6-tetramethylpiperdine-1-oxyl free radical (TEMPO), NaBr and NaClO in ethyl acetate/toluene affords protected DL-phenylalaninal (IV), which is condensed with ethyl 2-bromo-2,2-difluoroacetate (V) by means of Zn in THF to provide the 2,2-difluoropentanoic ester (VI). The reaction of ester (VI) with benzylamine (VII) in THF gives the corresponding amide (VIII), which is finally deprotected by means of H2 over Pd/C in methanol/dioxane to yield the target 4-amino-N-benzyl-2,2-difluoro-5-phenylpentanamide (IX) intermediate.

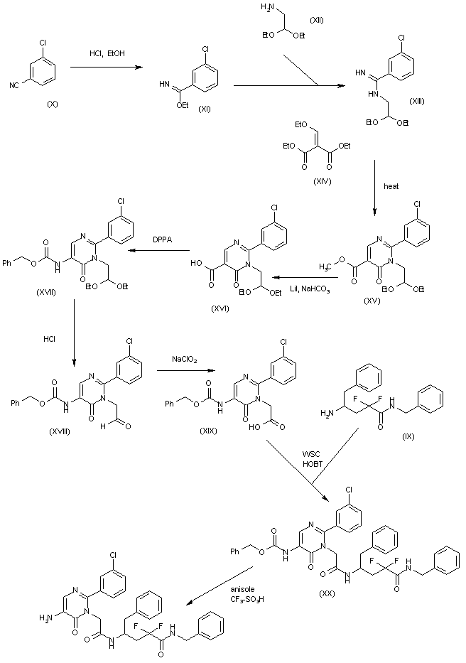
合成路线图解说明:

The reaction of 3-chlorobenzonitrile (X) with HCl and ethanol gives the ethyl 3-chlorobenzimidate (XI), which is condensed with 2-aminoacetaldehyde diethylacetal (XII) in ethanol to yield 3-chloro-N-(2,2-diethoxyethyl)benzamidine (XIII). The cyclization of (XIII) with diethyl ethoxymethylenemalonate (XIV) in refluxing ethanol affords the pyrimidinone (XV), the ester group of which is hydrolyzed with LiI and NaHCO3 in pyridine to provide the corresponding carboxylic acid (XVI). The reaction of the carboxylic group of (XVI) with DPPA and TEA in refluxing dioxane gives the N-benzyloxycarbonylamino-pyrimidinone (XVII). The hydrolysis of he diethylacetal group of (XVII) with hot 1M HCl yields the acetaldehyde derivative (XVIII), which is oxidized with NaClO2 in water to afford the acetic acid derivative (XIX). The condensation of (XIX) with the already reported intermediate (IX) by means of HOBt and WSC provides the amide (XX), which is finally deprotected by means of trifluromethanesulfonic acid and anisole in dichloromethane to yield the target diamide derivative.

Drug Information Express,Drug R&D,Chemical Database,Patent Search.
Copyright © 2006-2026 Drug Future. All rights reserved.Contact Us