【药物名称】
化学结构式(Chemical Structure):
参考文献No.621834
标题:Synthesis of azolo(5,4-c) isoquinolines
作者:Nikolyukin, Y.A.; et al.
来源:Chem Heterocycl Compd 1990,26914
合成路线图解说明:

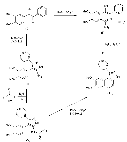
Conversion of alpha-benzoyl-homoveratronitrile (I) into benzopyrylium perchlorate derivative (II) is performed by reaction with perchloric acid in acetic anhydride. The desired compound is then obtained by treatment of (II) with hydrazine hydrate in refluxing acetonitrile. Alternatively, the target product can be obtained as follows: Treatment of homoveratronitrile derivative (I) with hydrazine hydrate in refluxing acetic acid yields pyrazole (III), which is then acylated with acetyl chloride (IV) by means of Et3N in refluxing benzene to furnish acetylamino derivative (V). Finally, cyclization is induced by treatment of (V) with perchloric acid in refluxing acetic anhydride/nitromethane.

Drug Information Express,Drug R&D,Chemical Database,Patent Search.
Copyright © 2006-2026 Drug Future. All rights reserved.Contact Us