【药物名称】
化学结构式(Chemical Structure):
参考文献No.31488
标题:Heterocyclic amide cpds. and medicinal use of the same
作者:Akahoshi, F.; Yoshimura, T.; Eda, M.; Ashimori, A.; Fukuyama, H.; Nakajima, M.; Imada, T.; Okunishi, H.; Miyazaki, M. (Welfide Corporation)
来源:EP 0826671; US 5948785; WO 9633974
合成路线图解说明:

The intermediate pyrimidineacetic acid (X) was prepared as follows. 4-Fluorobenzonitrile (I) was converted to the corresponding imidate (II) by treatment with ethanolic HCl. Reaction of imidate (II) with aminoacetaldehyde diethyl acetal (III) produced amidine (IV), which was condensed with diethyl ethoxymethylenemalonate (V) in boiling EtOH to furnish pyrimidinone (VI). Hydrolysis of the ethyl ester function of (VI) was carried out by treatment with LiI in hot pyridine. The resulting carboxylic acid (VII) was then subjected to a Curtius rearrangement with diphenylphosphoryl azide, and the intermediate isocyanate was subsequently condensed with benzyl alcohol, producing the benzyl carbamate (VIII). Acid hydrolysis of the diethyl acetal group of (VIII) gave aldehyde (IX), which was then oxidized to carboxylic acid (X) by using sodium chlorite.

合成路线图解说明:

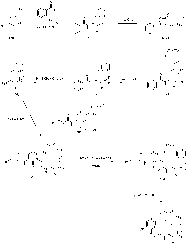
Acylation of phenylalanine (XI) with benzoyl chloride (XII) under Schotten-Baumann conditions produced the corresponding benzamide (XIII). The cyclization of benzoylphenylalanine (XIII) in the presence of acetic anhydride afforded oxazolone (XIV), which was then reacted with trifluoroacetic anhydride producing the trifluoromethyl ketone (XV). After ketone (XV) reduction to carbinol (XVI) with NaBH4, the acidic hydrolysis of the benzamido group of (XVI) yielded the amino alcohol (XVII) (1). Condensation of acid (X) with amine (XVII) using EDC and HOBt gave amide (XVIII). The hydroxyl group of (XVIII) was then oxidized to ketone (XIX) employing a modified Pfitzner-Moffatt oxidation. Finally, hydrogenolysis of the benzyloxycarbonyl group of (XIX) furnished the desired aminopyrimidinone.

参考文献No.610079
标题:Non-peptidic inhibitors of human chymase. Synthesis, structure-activity relationships, and pharmacokinetic profiles of a series of 5-amino-6-oxo-1,6-dihydropyrimidine-containing trifluoromethyl ketones
作者:Akahoshi, F.; Ashimori, A.; Yoshimura, T.; Imada, T.; Nakajima, M.; Mitsutomi, N.; Kuwahara, S.; Ohtsuka, T.; Fukaya, C.; Miyazaki, M.; Nakamura, N.
来源:Bioorg Med Chem 2001,9(2),301
合成路线图解说明:

Acylation of phenylalanine (XI) with benzoyl chloride (XII) under Schotten-Baumann conditions produced the corresponding benzamide (XIII). The cyclization of benzoylphenylalanine (XIII) in the presence of acetic anhydride afforded oxazolone (XIV), which was then reacted with trifluoroacetic anhydride producing the trifluoromethyl ketone (XV). After ketone (XV) reduction to carbinol (XVI) with NaBH4, the acidic hydrolysis of the benzamido group of (XVI) yielded the amino alcohol (XVII) (1). Condensation of acid (X) with amine (XVII) using EDC and HOBt gave amide (XVIII). The hydroxyl group of (XVIII) was then oxidized to ketone (XIX) employing a modified Pfitzner-Moffatt oxidation. Finally, hydrogenolysis of the benzyloxycarbonyl group of (XIX) furnished the desired aminopyrimidinone.

Drug Information Express,Drug R&D,Chemical Database,Patent Search.
Copyright © 2006-2026 Drug Future. All rights reserved.Contact Us