【药物名称】
化学结构式(Chemical Structure):
参考文献No.609826
标题:alpha2 Adrenoceptor agonists as potential analgesic agents. 3. Imidazolylmethylthiophenes
作者:Boyd, R.E.; Press, J.B.; Rasmussen, C.P.; Raffa, R.B.; Codd, E.E.; Connelly, C.D.; Li, Q.S.; Martinez, R.P.; Lewis, M.A.; Almond, H.R.; Reitz, A.B.
来源:J Med Chem 2001,44(6),863
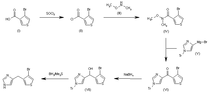
合成路线图解说明:

The reaction of 4-bromothiophene-3-carboxylic acid with SOCl2 gives the corresponding acyl chloride (II), which is condensed with N,O-dimethylhydroxylamine (III) to yield the amide (IV). The Grignard condensation of (IV) with 4-imidazolylmagnesium bromide (V) affords the methanone (VI), which is reduced with NaBH4 to the corresponding carbinol (VII). Finally, this alcohol is reduced and deprotected with BH3/Me2S in dichloromethane/THF.

Drug Information Express,Drug R&D,Chemical Database,Patent Search.
Copyright © 2006-2026 Drug Future. All rights reserved.Contact Us