【药物名称】UK-356618
化学结构式(Chemical Structure):
参考文献No.609838
标题:Discovery of potent and selective succinyl hydroxamate inhibitors of matrix metalloprotease-3 (stromelysin-1)
作者:Fray, M.J.; Dickinson, R.P.
来源:Bioorg Med Chem Lett 2001,11(4),571
合成路线图解说明:

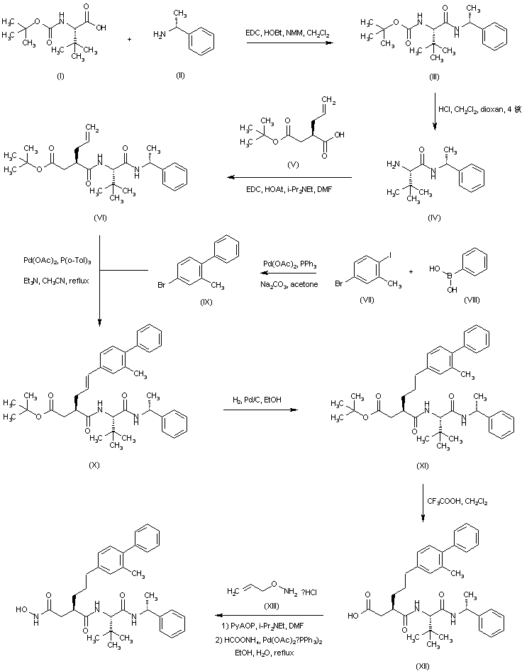
Coupling of N-Boc-L-tert-leucine (I) with (R)-1-phenylethylamine (II) using EDC and HOBt gave amide (III) which, after acid cleavage of the N-Boc group, provided amino amide (IV). Acylation of amine (IV) with (R)-2-allylsuccinic acid 4-tert-butyl ester (V) afforded the diamide (VI). Biphenylyl bromide (IX) was prepared by the Suzuki coupling between 5-bromo-2-iodotoluene (VII) and phenylboronic acid (VIII). The biaryl group was then introduced via Heck reaction of biphenylyl bromide (IX) with olefin (VI), yielding adduct (X). Subsequent hydrogenation of the olefin double bond of (X) over Pd/C afforded (XI). Carboxylic acid (XII) was then obtained by trifluoroacetic acid-promoted cleavage of the tert-butyl ester group of (XI). Conversion of (XII) to the title hydroxamic acid was then achieved by coupling of carboxylic acid (XII) with O-allylhydroxylamine (XIII), followed by O-allyl group cleavage in the presence of ammonium formate and palladium catalyst.

参考文献No.617821
标题:Discovery of potent and selective succinyl hydroxamate inhibitors of matrix metalloprotease-3 (stromelysin-1)
作者:Fray, M.J.; et al.
来源:13th Noordwijkerhout-Camerino Symp Trends Drug Res (May 6 2001, Noordwijkerhout) 2001,Abst P8
合成路线图解说明:

Coupling of N-Boc-L-tert-leucine (I) with (R)-1-phenylethylamine (II) using EDC and HOBt gave amide (III) which, after acid cleavage of the N-Boc group, provided amino amide (IV). Acylation of amine (IV) with (R)-2-allylsuccinic acid 4-tert-butyl ester (V) afforded the diamide (VI). Biphenylyl bromide (IX) was prepared by the Suzuki coupling between 5-bromo-2-iodotoluene (VII) and phenylboronic acid (VIII). The biaryl group was then introduced via Heck reaction of biphenylyl bromide (IX) with olefin (VI), yielding adduct (X). Subsequent hydrogenation of the olefin double bond of (X) over Pd/C afforded (XI). Carboxylic acid (XII) was then obtained by trifluoroacetic acid-promoted cleavage of the tert-butyl ester group of (XI). Conversion of (XII) to the title hydroxamic acid was then achieved by coupling of carboxylic acid (XII) with O-allylhydroxylamine (XIII), followed by O-allyl group cleavage in the presence of ammonium formate and palladium catalyst.

Drug Information Express,Drug R&D,Chemical Database,Patent Search.
Copyright © 2006-2026 Drug Future. All rights reserved.Contact Us