【药物名称】
化学结构式(Chemical Structure):
参考文献No.609850
标题:Structure-activity relationships of quinazoline derivatives: Dual-acting compounds with inhibitory activities toward both TNF-alpha production and T cell proliferation
作者:Tobe, M.; Isobe, Y.; Tomizawa, H.; Matsumoto, M.; Obara, F.; Nagasaki, T.; Hayashi, H.
来源:Bioorg Med Chem Lett 2001,11(4),545
合成路线图解说明:

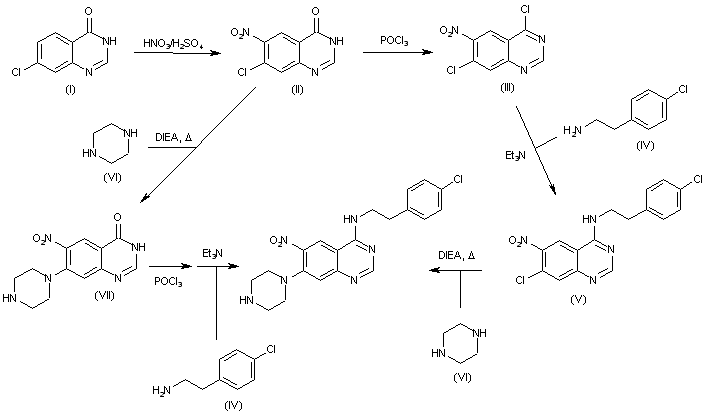
Nitration of quinazolone (I) by reaction with HNO3/H2SO4 affords 7-chloro-6-nitro-4-quinazolone (II), which is then chlorinated with phosphorus oxychloride (POCl3) to provide quinazoline (III). Selective amination of the quinazoline ring of (III) by reaction with 4-chlorophenethylamine (IV) in isopropanol in the presence of Et3N yields compound (V), which is finally converted into the desired compound by condensation with piperazine (VI) in refluxing butanol in the presence of DIEA. Alternatively the target product can be obtained by the following procedure: Condensation of quinazolone derivative (II) with piperazine (VI) in refluxing butanol in the presence of DIEA affords compound (VII), which is treated with POCl3 and finally subjected to condensation with 4-chlorophenethylamine (IV) in isopropanol in the presence of Et3N.

Drug Information Express,Drug R&D,Chemical Database,Patent Search.
Copyright © 2006-2026 Drug Future. All rights reserved.Contact Us