【药物名称】Naringenin
化学结构式(Chemical Structure):
参考文献No.800309
标题:躡er die synthese des naringenins und phloretins
作者:Rosenmund, M.; Rosenmund, K.W.
来源:Ber 1928,612608-13
合成路线图解说明:

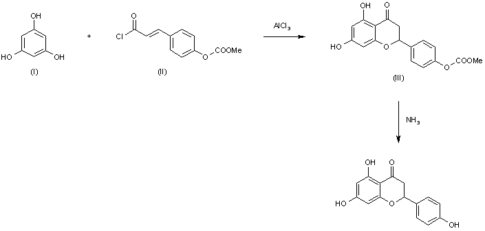
The condensation of phloroglucinol (I) with 4-methoxycarbonyloxy)cinnamoyl chloride (II) by means AlCl3 in hot nitrobenzene gives 4'-O-methoxycarbonylnaringenin (III), which is hydrolyzed with NH3 in water-acetone.

参考文献No.800310
标题:Synthese eines phloracetophenon-glucosids, eines naringenin-glucosids und des p-phlorhizins
作者:Zempl閚, G.; Bogn醨, R.
来源:Ber 1942,75645-655
合成路线图解说明:

The condensation of 2,4,6-trihydroxyacetophenone (IV) with tetraacetylbromoglucose (V) by means of NaOH in acetone-water gives tetraacetylphloracetophenone-4-O-glucoside (VI), which is condensed with 4-hydroxybenzaldehyde (VII), by means of KOH in alcohol yielding the chalcone derivative (VIII). Finally, this compound is cyclized and deprotected by a treatment with refluxing aqueous HCl.

参考文献No.800322
标题:Naringenin
作者:Casta馿r, J.; Serradell, M.N.; Aboul-Enein, H.Y.
来源:Drugs Fut 1984,9(9),653-654
合成路线图解说明:

The condensation of phloroglucinol (I) with 4-methoxycarbonyloxy)cinnamoyl chloride (II) by means AlCl3 in hot nitrobenzene gives 4'-O-methoxycarbonylnaringenin (III), which is hydrolyzed with NH3 in water-acetone.

合成路线图解说明:

The condensation of 2,4,6-trihydroxyacetophenone (IV) with tetraacetylbromoglucose (V) by means of NaOH in acetone-water gives tetraacetylphloracetophenone-4-O-glucoside (VI), which is condensed with 4-hydroxybenzaldehyde (VII), by means of KOH in alcohol yielding the chalcone derivative (VIII). Finally, this compound is cyclized and deprotected by a treatment with refluxing aqueous HCl.

Drug Information Express,Drug R&D,Chemical Database,Patent Search.
Copyright © 2006-2026 Drug Future. All rights reserved.Contact Us