【药物名称】
化学结构式(Chemical Structure):
参考文献No.34582
标题:Substd. oximes, hydrazones and olefins useful as neurokinin antagonists
作者:Shankar, B.B. (Schering Corp.)
来源:EP 0823896; EP 0937064; JP 1998506923; JP 2000504341; US 5688960; US 5696267; WO 9634857; WO 9818785
合成路线图解说明:

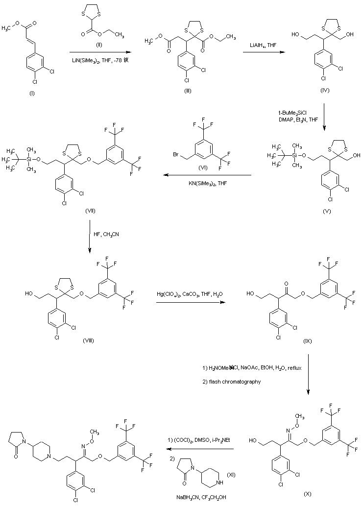
Conjugate addition of the lithium enolate of ethyl 1,3-dithiolane-2-carboxylate (II) to methyl 3,4-dichlorocinnamate (I) afforded the diester adduct (III). Reduction of (III) with LiAlH4 gave diol (IV), which was selectively monosilylated with tert-butyldimethylsilyl chloride, yielding (V). Condensation of the potassium alkoxide of (V) with 3,5-bis(trifluoromethyl)benzyl bromide (VI) provided ether (VII). After desilylation of (VII) with HF in acetonitrile to alcohol (VIII), the hydrolysis of its thioketal function with mercuric perchlorate and CaCO3 furnished ketone (IX). Treatment of (IX) with methoxyamine gave rise to a mixture of (E)- and (Z)-oximes from which the desired (Z)-isomer (X) was isolated by flash chromatography. Swern oxidation of the alcohol functionality of (X) produced the corresponding aldehyde, which was reductively condensed with piperidinyl pyrrolidone (XI) in the presence of NaBH3CN to afford the title compound.

参考文献No.609862
标题:Synthesis of substituted 4(Z)-(methoxyimino)penthyl-1-piperidines as dual NK1/NK2 inhibitors
作者:Ting, P.C.; Lee, J.F.; Anthes, J.C.; Shih, N.-Y.; Piwinski, J.J.
来源:Bioorg Med Chem Lett 2001,11(4),491
合成路线图解说明:

Conjugate addition of the lithium enolate of ethyl 1,3-dithiolane-2-carboxylate (II) to methyl 3,4-dichlorocinnamate (I) afforded the diester adduct (III). Reduction of (III) with LiAlH4 gave diol (IV), which was selectively monosilylated with tert-butyldimethylsilyl chloride, yielding (V). Condensation of the potassium alkoxide of (V) with 3,5-bis(trifluoromethyl)benzyl bromide (VI) provided ether (VII). After desilylation of (VII) with HF in acetonitrile to alcohol (VIII), the hydrolysis of its thioketal function with mercuric perchlorate and CaCO3 furnished ketone (IX). Treatment of (IX) with methoxyamine gave rise to a mixture of (E)- and (Z)-oximes from which the desired (Z)-isomer (X) was isolated by flash chromatography. Swern oxidation of the alcohol functionality of (X) produced the corresponding aldehyde, which was reductively condensed with piperidinyl pyrrolidone (XI) in the presence of NaBH3CN to afford the title compound.

Drug Information Express,Drug R&D,Chemical Database,Patent Search.
Copyright © 2006-2026 Drug Future. All rights reserved.Contact Us