【药物名称】SSR-125543A
化学结构式(Chemical Structure):
参考文献No.47299
标题:Aminothiazole derivs. and their use as CRF receptor ligands
作者:Roger, P.; Gully, D.; Pradines, A.; Fontaine, E.; Geslin, M. (Sanofi-Synth閘abo)
来源:EP 1200419; FR 2796380; JP 2003505380; WO 0105776
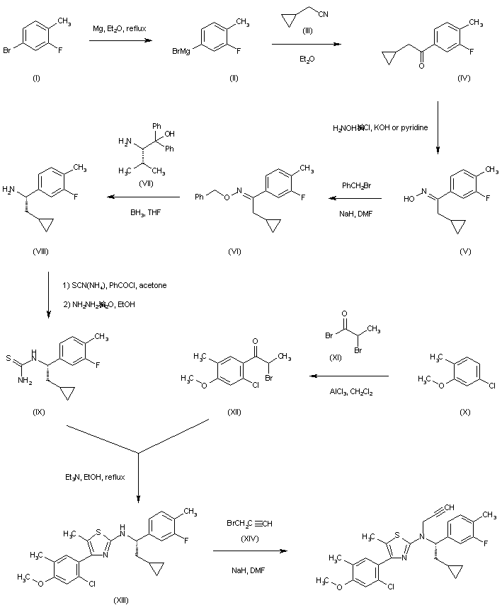
合成路线图解说明:

4-Bromo-3-fluorotoluene (I) is converted into the Grignard reagent (II) with magnesium in boiling Et2O, and subsequently added to cyclopropylacetonitrile (III) to produce ketone (IV). Condensation of (IV) with hydroxylamine affords oxime (V), which is further alkylated with benzyl bromide to yield the O-benzyl oxime (VI). Asymmetric reduction of oxime (VI) with borane in the presence of the aminoalcohol chiral auxiliary (VII) provides the (S)-amine (VIII). Reaction of amine (VIII) with ammonium thiocyanate and benzoyl chloride, followed by treatment with hydrazine hydrate, gives rise to the thiourea (IX). Friedel-Crafts acylation of 4-chloro-2-methoxytoluene (X) with 2-bromopropionyl bromide (XI) employing AlCl3 furnishes the bromo ketone (XII). Then, condensation of thiourea (IX) with bromo ketone (XII) in the presence of Et3N in boiling EtOH gives rise to the aminothiazole (XIII). Finally, alkylation of the amino group of (XIII) with propargyl bromide (XIV) and NaH furnishes the title compound

Drug Information Express,Drug R&D,Chemical Database,Patent Search.
Copyright © 2006-2026 Drug Future. All rights reserved.Contact Us