【药物名称】NR58.4
化学结构式(Chemical Structure):
参考文献No.44340
标题:Cpds. and methods to inhibit or augment an inflammatory response
作者:Grainger, D.J.; Tatalick, L.M. (NeoRx Corp.)
来源:WO 0042071
合成路线图解说明:

The title compound was prepared by two related procedures. The acylation of L-glutamine (I) with 10-undecenoyl chloride (II) under Schotten-Baumann conditions afforded N-undecenoylglutamine (III). This was then cyclized to the title glutarimide derivative by treatment with dicyclohexylcarbodiimide and N-hydroxysuccinimide.

合成路线图解说明:

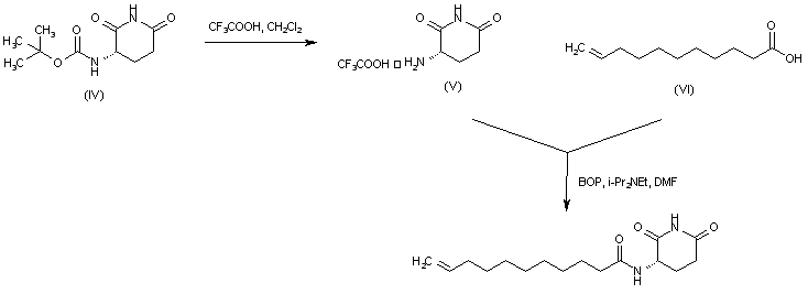
In an alternative synthesis, (S)-3-(tert-butoxycarbonylamino)glutarimide (IV) was deprotected by means of trifluoroacetic acid to yield the aminoglutarimide (V). BOP-mediated coupling of (V) with 10-undecenoic acid (VI) then gave the target amide.

参考文献No.647832
标题:Design, synthesis, and preliminary pharmacological evaluation of N-acyl-3-aminoglutarimides as broad-spectrum chemokine inhibitors in vitro and anti-inflammatory agents in vivo
作者:Fox, D.J.; Reckless, J.; Warren, S.G.; Grainger, D.J.
来源:J Med Chem 2002,45(2),360
合成路线图解说明:

The title compound was prepared by two related procedures. The acylation of L-glutamine (I) with 10-undecenoyl chloride (II) under Schotten-Baumann conditions afforded N-undecenoylglutamine (III). This was then cyclized to the title glutarimide derivative by treatment with dicyclohexylcarbodiimide and N-hydroxysuccinimide.

合成路线图解说明:

In an alternative synthesis, (S)-3-(tert-butoxycarbonylamino)glutarimide (IV) was deprotected by means of trifluoroacetic acid to yield the aminoglutarimide (V). BOP-mediated coupling of (V) with 10-undecenoic acid (VI) then gave the target amide.

Drug Information Express,Drug R&D,Chemical Database,Patent Search.
Copyright © 2006-2026 Drug Future. All rights reserved.Contact Us