【药物名称】ZK-811752, BX-471
化学结构式(Chemical Structure):
参考文献No.47854
标题:Piperazine derivs. and their use as anti-inflammatory agents
作者:Monahan, S.D.; Xu, W.; Morissey, M.M.; Bauman, J.G.; Ng, H.P.; Hesselgesser, J.E.; Liang, M.; Zheng, W.; Islam, I.; May, K.B.; Ghannam, A.F.; Buckman, B.O.; Horuk, R.; Wei, G.P. (Schering AG)
来源:US 6207665; WO 9856771
合成路线图解说明:

Condensation of chloroacetyl derivative (I) with phenolic compound (II) by means of K2CO3 in DMF affords the desired compound.

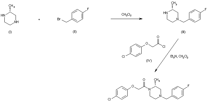
合成路线图解说明:

Alkylation of (R)-2-methylpiperazine (I) with 4-fluorobenzyl bromide (II) provides 1-(4-fluorobenzyl)-3-methylpiperazine (III). Subsequent acylation of piperazine (III) with (4-chlorophenoxy)acetyl chloride (IV) furnishes the title amide.

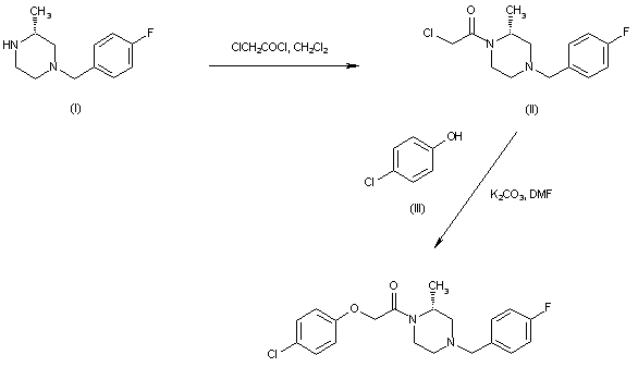
合成路线图解说明:

In a further method, 1-(4-fluorobenzyl)-3-methylpiperazine (I) is acylated by chloroacetyl chloride to provide the chloroacetamide (II). Subsequent chloride displacement with 4-chlorophenol (III) leads to the target chlorophenoxy acetamide.

Drug Information Express,Drug R&D,Chemical Database,Patent Search.
Copyright © 2006-2026 Drug Future. All rights reserved.Contact Us