【药物名称】
化学结构式(Chemical Structure):
参考文献No.608668
标题:A new class of nonsteroidal aromatase inhibitors: Design and synthesis of chromone and xanthone derivatives and inhibition of the P450 enzymes aromatase and 17 alpha-hydroxylase/C17,20-lyase
作者:Recanatini, M.; Bisi, A.; Cavalli, A.; Belluti, F.; Gobbi, S.; Rampa, A.; Valenti, P.; Palzer, M.; Palusczak, A.; Hartmann, R.W.
来源:J Med Chem 2001,44(5),672
合成路线图解说明:

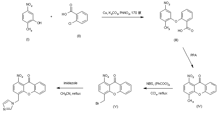
Copper-catalyzed condensation of 2-methyl-5-nitrophenol (I) with 2-chlorobenzoic acid (II) in hot nitrobenzene afforded the diphenyl ether (III). Subsequent cyclization of (III) by means of polyphosphoric acid gave 4-methyl-1-nitro-9H-9-xanthenone (IV). Benzylic bromination of (IV) with N-bromosuccinimide furnished bromide (V). This was finally condensed with imidazole in refluxing acetonitrile to yield the title compound.

Drug Information Express,Drug R&D,Chemical Database,Patent Search.
Copyright © 2006-2026 Drug Future. All rights reserved.Contact Us