【药物名称】
化学结构式(Chemical Structure):
参考文献No.48809
标题:10-Substd. 18-dihydroxy-9(10H)anthracenone pharmaceuticals
作者:Reindl, H.; Muller, K.; Weigrebe, W. (Teva Pharmaceutical Industries Ltd.)
来源:US 5952390
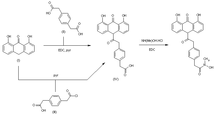
合成路线图解说明:

Acylation of anthralin (I) either with phenylacetic acid (II) by means of EDC and pyridine in THF or with phenylacetyl chloride (III) by means of pyridine in THF affords compound (IV), which is finally converted into the desired hydroxamate by reaction with N-methyl-N-hydroxylamine and EDC in DMF.

合成路线图解说明:

Acid chloride (II) was prepared by treatment of 4-phenylvaleric acid (I) with thionyl chloride. Condensation of acid chloride (II) with dithranol (III) in the presence of pyridine provided the title compound.

参考文献No.608670
标题:Antipsoriatic anthrones with modulated redox properties. 5. Potent inhibition of human keratinocyte growth. Induction of keratinocyte differentiation, and reduced membrane damage by novel 10-arylacetyl-1,8-dihydroxy-9(10H)-anthracenones
作者:M黮ler, K.; Reindl, H.; Breu, K.
来源:J Med Chem 2001,44(5),814
合成路线图解说明:

Acylation of anthralin (I) either with phenylacetic acid (II) by means of EDC and pyridine in THF or with phenylacetyl chloride (III) by means of pyridine in THF affords compound (IV), which is finally converted into the desired hydroxamate by reaction with N-methyl-N-hydroxylamine and EDC in DMF.

Drug Information Express,Drug R&D,Chemical Database,Patent Search.
Copyright © 2006-2026 Drug Future. All rights reserved.Contact Us