【药物名称】
化学结构式(Chemical Structure):
参考文献No.608665
标题:Synthesis and structure-activity relationships of novel apio and thioapio dideoxydidehydronucleosides as anti-HCMV agents
作者:Jeong, L.S.; Kim, H.O.; Moon, H.R.; Hong, J.H.; Yoo, S.J.; Choi, W.J.; Chun, M.W.; Lee, C.-K.
来源:J Med Chem 2001,44(5),806
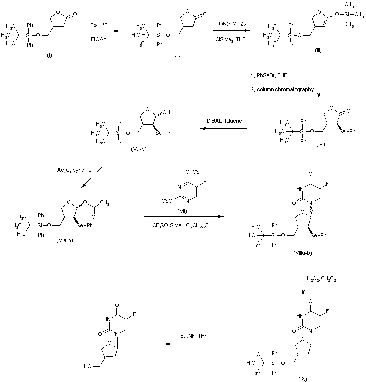
合成路线图解说明:

Catalytic hydrogenation of dihydrofuranone (I) over Pd/C afforded the saturated lactone (II). Treatment of (II) with chlorotrimethylsilane and lithium hexamethyldisilazide produced the silyl enol ether (III) which, without isolation, was treated with phenylselenenyl bromide to yield the trans-selenide (IV). Lactone reduction by means of DIBAL followed by acetylation of the resulting lactol (Va-b) gave acetate (VIa-b). The glycosylation of the silylated fluorouracil (VII) with (VIa-b) in the presence of trimethylsilyl triflate furnished adduct (VIIIa-b). Subsequent oxidative elimination of the phenylselenenyl group of (VIIIa-b) via an intermediate selenoxide produced the dihydrofuran derivative (IX), which was finally desilylated by treatment with tetrabutylammonium fluoride.

Drug Information Express,Drug R&D,Chemical Database,Patent Search.
Copyright © 2006-2026 Drug Future. All rights reserved.Contact Us