【药物名称】Acyline
化学结构式(Chemical Structure):
参考文献No.28047
标题:GnRH antagonists
作者:Rivier, J.E.F.; Porter, J.S.; Hoeger, C.A.; Jiang, G.; Rivier, C.L. (The Salk Institute for Biological Studies)
来源:EP 0804471; JP 1998500397; US 5506207; WO 9525741
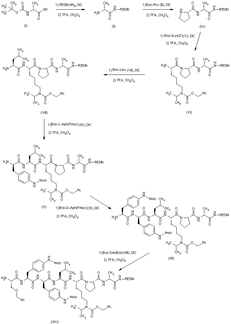
合成路线图解说明:

The title compound was obtained by solid-phase peptide synthesis using a methylbenzhydrylamine resin. After attachment of N-Boc-D-alanine (I) to the resin by means of diisopropylcarbodiimide (DIC), the N-Boc protecting group was cleaved by treatment with a solution of trifluoroacetic in CH2Cl2 in the presence of 1,2-ethanedithiol, yielding the alanine-bound resin (II). To this were sequentially coupled the appropriate protected amino acids using DIC, each followed by the Boc group cleavage with trifluoroacetic acid. Coupling/deprotection cycles with N-Boc-L-proline (III), N-alpha-Boc-N-epsilon-benzyloxycarbonyl-N-epsilon-isopropyl-L-lysine (V), N-Boc-L-leucine (VII), N-alpha-Boc-N-4-Fmoc-L-4-aminophenylalanine (IX), N-alpha-Boc-N-4-Fmoc-D-4-aminophenylalanine (XI) and N-Boc-O-benzyl-L-serine (XIII), furnished the peptide resins (IV), (VI), (VIII), (X), (XII) and (XIV).

合成路线图解说明:

Coupling/deprotection cycles with N-Boc-D-(3-pyridyl)alanine (XV), N-Boc-D-4-chlorophenylalanine (XVII) and N-Boc-D-(2-naphthyl)alanine (XIX) furnished the peptide resins (XVI), (XVIII) and (XX).

合成路线图解说明:

The side-chain Fmoc protecting groups of (XX) were then cleaved by treatment with piperidine in DMF, and the resulting compound (XXI) was acetylated with acetic anhydride to give (XXII). Finally, removal of the remaining protecting groups and cleavage from the resin was achieved by treatment with liquid HF and anisole.

参考文献No.640468
标题:Gonadotropin-releasing hormone antagonists: Novel members of the azaline B family
作者:Rivier, J.E.; Jiang, G.; Porter, J.B.; Hoeger, C.A.; Craig, A.G.; Corrigan, A.; Vale, W.; Rivier, C.L.
来源:J Med Chem 1995,38(14),2649
合成路线图解说明:

The title compound was obtained by solid-phase peptide synthesis using a methylbenzhydrylamine resin. After attachment of N-Boc-D-alanine (I) to the resin by means of diisopropylcarbodiimide (DIC), the N-Boc protecting group was cleaved by treatment with a solution of trifluoroacetic in CH2Cl2 in the presence of 1,2-ethanedithiol, yielding the alanine-bound resin (II). To this were sequentially coupled the appropriate protected amino acids using DIC, each followed by the Boc group cleavage with trifluoroacetic acid. Coupling/deprotection cycles with N-Boc-L-proline (III), N-alpha-Boc-N-epsilon-benzyloxycarbonyl-N-epsilon-isopropyl-L-lysine (V), N-Boc-L-leucine (VII), N-alpha-Boc-N-4-Fmoc-L-4-aminophenylalanine (IX), N-alpha-Boc-N-4-Fmoc-D-4-aminophenylalanine (XI) and N-Boc-O-benzyl-L-serine (XIII), furnished the peptide resins (IV), (VI), (VIII), (X), (XII) and (XIV).

合成路线图解说明:

Coupling/deprotection cycles with N-Boc-D-(3-pyridyl)alanine (XV), N-Boc-D-4-chlorophenylalanine (XVII) and N-Boc-D-(2-naphthyl)alanine (XIX) furnished the peptide resins (XVI), (XVIII) and (XX).

合成路线图解说明:

The side-chain Fmoc protecting groups of (XX) were then cleaved by treatment with piperidine in DMF, and the resulting compound (XXI) was acetylated with acetic anhydride to give (XXII). Finally, removal of the remaining protecting groups and cleavage from the resin was achieved by treatment with liquid HF and anisole.

Drug Information Express,Drug R&D,Chemical Database,Patent Search.
Copyright © 2006-2026 Drug Future. All rights reserved.Contact Us