【药物名称】SR-7
化学结构式(Chemical Structure):
参考文献No.623556
标题:Synthesis and biological evaluation of deoxypreussomerin A and palmarumycin CP1 and related naphthoquinone spiroketals
作者:Wipf, P.; et al.
来源:Tetrahedron 2001,57(2),283
合成路线图解说明:

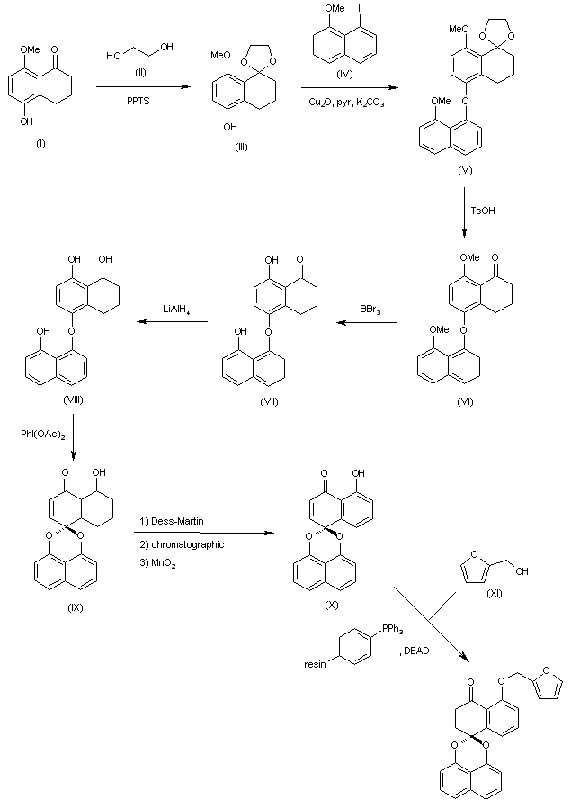
Formation of ketal (III) is achieved by treatment of 5-hydroxy-8-methoxy-1-tetralone (I) with ethylene glycol (II) and pyridinium p-toluenesulfonate (PPTS) in benzene. Coupling of hydroxy derivative (III) with 8-iodo-1-methoxynaphthalene (IV) by means of Cu2O and K2CO3 in refluxing pyridine provides naphthyl ether (V), which is then hydrolyzed to ketone (VI) by means of TsOH in acetone/H2O. Demethylation of derivative (VI) is then performed by treatment with BBr3 in dichloromethane to yield hydroxy derivative (VII), which is reduced by means of LiAlH4 in Et2O to give triol (VIII). Oxidative cyclization of (VIII) using PhI(OAc)2 in trifluoroethanol affords naphthalene spiroketal (IX), which is converted into palmarumycin CP1 (X) by a two-step protocol consisting in a first oxidation with Dess-Martin periodane (and subsequent purification) followed by aromatization with MnO2 in dichloromethane. Finally, the target product is obtained by a Mitsunobu reaction of derivative (X) with alcohol (XI) using polystyrene-bound triphenylphosphine and DEAD in dichloromethane.

Drug Information Express,Drug R&D,Chemical Database,Patent Search.
Copyright © 2006-2026 Drug Future. All rights reserved.Contact Us