【药物名称】R-99224
化学结构式(Chemical Structure):
参考文献No.36004
标题:Cyclic amine derivs.
作者:Asai, F.; Sugidachi, A.; Ikeda, T.; Koike, H.; Inoue, T.; Takata, K.; Iwamura, R.; Kita, J.; Yoneda, K. (Sankyo Co., Ltd.; Ube Industries, Ltd.)
来源:EP 0934928; JP 1998120649; US 6087379; WO 9808811
合成路线图解说明:

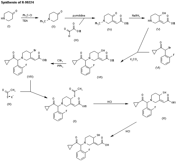
Protection of 4-piperidone (I) with trityl chloride and TEA gives 1-tritylpiperidin-4-one (II), which is condensed with ethyl 2-oxoacetate (III) by means of pyrrolidine in refluxing benzene to yield 3-(ethoxycarbonylmethylene)-1-tritylpiperidin-4-one (IV). The deprotection and simultaneous reduction of compound (IV) with NaBH4 in methanol affords the 4-hydroxypiperidine derivative (V), which is condensed with 2-bromo-1-cyclopropyl-2-(2-fluorophenyl)ethanone (VI) by means of K2CO3 in DMF to provide the adduct (VII). Reaction of the OH group of (VII) with CBr4 and PPh3 in dichloromethane gives the 4-bromopiperidine derivative (VIII), which by reaction with potassium thioacetate (IX) in ethanol provides the 4-(acetylthio)piperidine derivative (X). Selective hydrolysis of compound (X) with HCl in ethanol yields the 4-sulfanylpiperidine derivative (XI), which is finally submitted to a new hydrolysis with HCl in acetic acid.

参考文献No.40408
标题:Cyclic amino cpds.
作者:Shibakawa, N.; Iwabuchi, H.; Sugidachi, A.; Ikeda, T.; Iwamura, R.; Kuroki, Y.; Inoue, T.; Asai, F. (Sankyo Co., Ltd.; Ube Industries, Ltd.)
来源:EP 1063230; WO 9943648
合成路线图解说明:

Protection of 4-piperidone (I) with trityl chloride and TEA gives 1-tritylpiperidin-4-one (II), which is condensed with ethyl 2-oxoacetate (III) by means of pyrrolidine in refluxing benzene to yield 3-(ethoxycarbonylmethylene)-1-tritylpiperidin-4-one (IV). The deprotection and simultaneous reduction of compound (IV) with NaBH4 in methanol affords the 4-hydroxypiperidine derivative (V), which is condensed with 2-bromo-1-cyclopropyl-2-(2-fluorophenyl)ethanone (VI) by means of K2CO3 in DMF to provide the adduct (VII). Reaction of the OH group of (VII) with CBr4 and PPh3 in dichloromethane gives the 4-bromopiperidine derivative (VIII), which by reaction with potassium thioacetate (IX) in ethanol provides the 4-(acetylthio)piperidine derivative (X). Selective hydrolysis of compound (X) with HCl in ethanol yields the 4-sulfanylpiperidine derivative (XI), which is finally submitted to a new hydrolysis with HCl in acetic acid.

参考文献No.636139
标题:CS-747 and R-99224
作者:Casta馿r, J.; Mealy, N.E.; Doggrell, S.A.
来源:Drugs Fut 2001,21(9),835
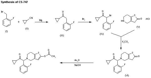
合成路线图解说明:

Reaction of the Grignard reagent prepared from 2-fluorobenzyl bromide (I) and Mg in ether with cyclopropyl cyanide (II) in the same solvent gives 1-cyclopropyl-2-(2-fluorophenyl)ethanone (III), which is brominated with Br2 in CCl4 to yield the a-bromoketone (IV). Condensation of ketone (IV) with 2,3,4,5,6,7-hexahydrothieno[3,2-c]pyridin-2-one hydrochloride (V) by means of K2CO3 in DMF affords the adduct (VI), which is finally treated with acetic anhydride and NaH in DMF.

合成路线图解说明:

Reaction of 2,3,4,5,6,7-hexahydrothieno[3,2-c]pyridin-2-one p-toluenesulfonate (VII) with TBDMS-Cl and TEA in dichloromethane gives the silylated enol ether (VIII), which is condensed with 1-cyclopropyl-2-chloro-2-(2-fluorophenyl)ethanone (IX) by means of TEA in the same solvent to provide the adduct (X). Finally, this compound is treated with TEA and DMAP and acetylated with Ac2O.

合成路线图解说明:

Protection of 4-piperidone (I) with trityl chloride and TEA gives 1-tritylpiperidin-4-one (II), which is condensed with ethyl 2-oxoacetate (III) by means of pyrrolidine in refluxing benzene to yield 3-(ethoxycarbonylmethylene)-1-tritylpiperidin-4-one (IV). The deprotection and simultaneous reduction of compound (IV) with NaBH4 in methanol affords the 4-hydroxypiperidine derivative (V), which is condensed with 2-bromo-1-cyclopropyl-2-(2-fluorophenyl)ethanone (VI) by means of K2CO3 in DMF to provide the adduct (VII). Reaction of the OH group of (VII) with CBr4 and PPh3 in dichloromethane gives the 4-bromopiperidine derivative (VIII), which by reaction with potassium thioacetate (IX) in ethanol provides the 4-(acetylthio)piperidine derivative (X). Selective hydrolysis of compound (X) with HCl in ethanol yields the 4-sulfanylpiperidine derivative (XI), which is finally submitted to a new hydrolysis with HCl in acetic acid.

Drug Information Express,Drug R&D,Chemical Database,Patent Search.
Copyright © 2006-2026 Drug Future. All rights reserved.Contact Us