【药物名称】
化学结构式(Chemical Structure):
参考文献No.607968
标题:Anti-Helicobacter pylori agents endowed with H2-antagonist properties
作者:Sorba, G.; Bertinaria, M.; Di Stilo, A.; Gasco, A.; Scaltrito, M.M.; Brenciaglia, M.I.; Dubini, F.
来源:Bioorg Med Chem Lett 2001,11(3),403
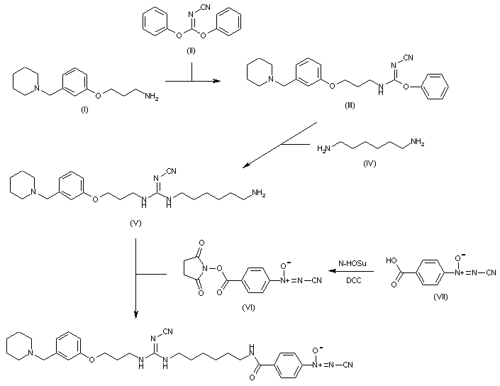
合成路线图解说明:

Condensation of amine (I) with diphenyl cyanocarbonimidate (II) affords isourea (III), which is then converted into cyanoguanidine (V) by coupling with diamine (IV) in CH2Cl2. The final step for the synthesis of the desired product is the reaction of the primary amine group of (V) with the active ester (VI) obtained by activation of calvatic acid (VII) with N-hydroxysuccinimide (N-HOSu) and N,N'-dicyclohexyl-carbodiimide (DCC) in THF.

参考文献No.635386
标题:Iodoaminopotentidine and related compounds: A new class of ligands with high affinity and selectivity for the histamine H2 receptor
作者:Hirschfeld, J.; Buschauer, A.; Elz, S.; Schunack, W.; Ruat, M.; Traiffort, E.; Schwartz, J.C.
来源:J Med Chem 1992,35(12),2231
合成路线图解说明:

Condensation of amine (I) with diphenyl cyanocarbonimidate (II) affords isourea (III), which is then converted into cyanoguanidine (V) by coupling with diamine (IV) in CH2Cl2. The final step for the synthesis of the desired product is the reaction of the primary amine group of (V) with the active ester (VI) obtained by activation of calvatic acid (VII) with N-hydroxysuccinimide (N-HOSu) and N,N'-dicyclohexyl-carbodiimide (DCC) in THF.

Drug Information Express,Drug R&D,Chemical Database,Patent Search.
Copyright © 2006-2026 Drug Future. All rights reserved.Contact Us