【药物名称】
化学结构式(Chemical Structure):
参考文献No.476290
标题:3-Pyridylethanolamines: Potent and selective human beta3 adrenergic receptor agonists
作者:Naylor, E.M.; Colandrea, V.J.; Candelore, M.R.; Cascieri, M.A.; Colwell, L.F. Jr.; Deng, L.; Feeney, W.P.; Forrest, M.J.; Hom, G.J.; MacIntyre, D.E.; Strader, C.D.; Tota, L.; Wang, P.R.; Wyvratt, M.J.; Fisher, M.H.; Weber, A.E.
来源:Bioorg Med Chem Lett 1998,8(21),3087
合成路线图解说明:

Alternatively, reaction of 6-chloronicotinic acid (XIII) with methyllithium-lithium bromide complex gave methyl ketone (XIV). This was brominated by means of dibromobarbituric acid (XV) to produce bromoketone (XVI). Asymmetric reduction of (XVI) with (-)-B-chlorodiisopinocampheylborane provided the (R)-bromohydrin (XVII), which was converted to epoxide (XVIII) with NaOH in aqueous THF. Epoxide (XVIII) opening with 4-nitrophenethylamine (XIX) produced amino alcohol (XX), which by further protection with Boc2O gave carbamate (XXI). Concomitant dechlorination and nitro group reduction in (XXI) by hydrogenation using Raney Nickel as catalyst provided amine (XI). This was finally converted to the target compound by means of sulfonylation and deprotection as above.

合成路线图解说明:

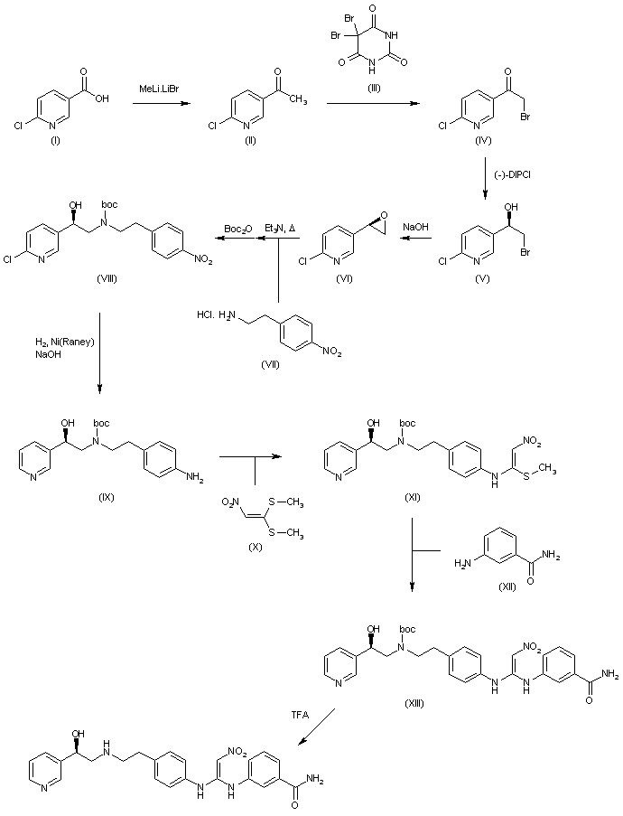
Reaction of 6-chloronicotinic acid (I) with methyllithium lithium bromide complex gives methyl ketone (II), which is treated with dibromobarbituric acid (III) in refluxing THF to afford bromoketone (IV). Asymmetric reduction of (IV) with (-)-DIP-chloride [(-)-B-chlorodiisopinocampheylborane] provides bromohydrin (V), which is converted into epoxide (VI) by treatment with NaOH in THF/H2O. Opening of the epoxide moiety of (VI) with p-nitrophenethylamine hydrochloride (VII) in MeOH in the presence of Et3N followed by N-protection with Boc2O in THF yields ethanolamine (VIII), which is then hydrogenated over Ni-Raney in EtOH/NaOH to furnish dechlorinated aniline (IX). Condensation of (IX) with 1,1-bis(methylsulfanyl)-2-nitroethylene (X) in isopropanol gives compound (XI), which is then subjected to reaction with aniline (XII) in isopropanol to afford nitroethylenediamine (XIII). Finally, the desired product is obtained by Boc removal of (XIII) by treatment with TFA in CH2Cl2.

参考文献No.607965
标题:Human beta3 adrenergic receptor agonists containing cyanoguanidine and nitroethylenediamide moieties
作者:Brockunier, L.L.; Candelore, M.R.; Cascieri, M.A.; Liu, Y.; Tota, L.; Wyvratt, M.J.; Fisher, M.H.; Weber, A.E.; Parmee, E.R.
来源:Bioorg Med Chem Lett 2001,11(3),379
合成路线图解说明:

Reaction of 6-chloronicotinic acid (I) with methyllithium lithium bromide complex gives methyl ketone (II), which is treated with dibromobarbituric acid (III) in refluxing THF to afford bromoketone (IV). Asymmetric reduction of (IV) with (-)-DIP-chloride [(-)-B-chlorodiisopinocampheylborane] provides bromohydrin (V), which is converted into epoxide (VI) by treatment with NaOH in THF/H2O. Opening of the epoxide moiety of (VI) with p-nitrophenethylamine hydrochloride (VII) in MeOH in the presence of Et3N followed by N-protection with Boc2O in THF yields ethanolamine (VIII), which is then hydrogenated over Ni-Raney in EtOH/NaOH to furnish dechlorinated aniline (IX). Condensation of (IX) with 1,1-bis(methylsulfanyl)-2-nitroethylene (X) in isopropanol gives compound (XI), which is then subjected to reaction with aniline (XII) in isopropanol to afford nitroethylenediamine (XIII). Finally, the desired product is obtained by Boc removal of (XIII) by treatment with TFA in CH2Cl2.

Drug Information Express,Drug R&D,Chemical Database,Patent Search.
Copyright © 2006-2026 Drug Future. All rights reserved.Contact Us