【药物名称】
化学结构式(Chemical Structure):
参考文献No.607964
标题:Synthesis and biological activity of novel potent endothelin-converting enzyme-1 inhibitors
作者:Firooznia, F.; Gude, C.; Chan, K.; Fink, C.A.; Qiao, Y.; Satoh, Y.; Marcopoulos, N.; Savage, P.; Beil, M.E.; Bruseo, C.W.; Trapani, A.J.; Jeng, A.Y.
来源:Bioorg Med Chem Lett 2001,11(3),375
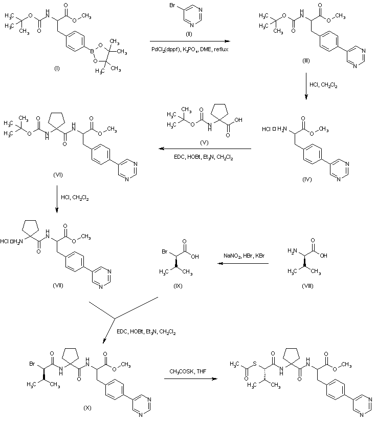
合成路线图解说明:

The protected 4-pyrimidinylphenylalanine (III) was prepared by palladium-catalyzed coupling of the boronophenylalanine (I) with the 5-halopyrimidine (II). After acidic cleavage of the N-Boc protecting group of (III), the resultant amino ester (IV) was coupled with N-Boc-cycloleucine (V) to provide dipeptide (VI). Further acidic treatment of (VI) removed the N-Boc group to yield amine (VII). The chiral bromo acid (IX) was obtained by diazotization of D-valine (VIII) in the presence of HBr and KBr. Acylation of the racemic amine (VII) with bromo acid (IX) furnished the corresponding amide (X) as an epimeric mixture. The bromo group of (X) was finally displaced with potassium thioacetate to give the title thioacetate ester.

Drug Information Express,Drug R&D,Chemical Database,Patent Search.
Copyright © 2006-2026 Drug Future. All rights reserved.Contact Us