【药物名称】
化学结构式(Chemical Structure):
参考文献No.607958
标题:The development of a potential single photon emission computed tomography (SPECT) imaging agent for the corticotropin-releasing hormone receptor type 1
作者:Tian, X.; Hsin, L.-W.; Webster, E.L.; Contoreggi, C.; Chrousos, G.P.; Gold, P.W.; Habib, K.; Ayala, A.; Eckelman, W.C.; Jacobson, A.E.; Rice, K.C.
来源:Bioorg Med Chem Lett 2001,11(3),331
合成路线图解说明:

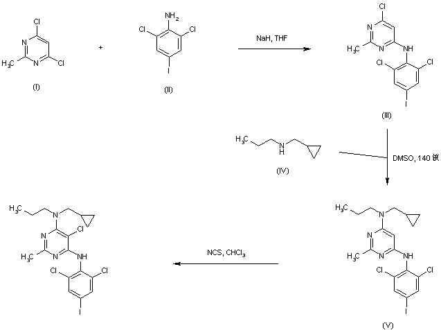
Condensation between 4,6-dichloro-2-methylpyrimidine (I) and 2,6-dichloro-4-iodoaniline (II) in the presence of NaH in THF furnished the diaryl amine (III). The remaining chlorine atom was displaced with N-(cyclopropylmethyl)propylamine (IV) in hot DMSO to yield (V). Finally, chlorination of the pyrimidine ring with N-chlorosuccinimide (NCS) afforded the target 4-iodo derivative.

Drug Information Express,Drug R&D,Chemical Database,Patent Search.
Copyright © 2006-2026 Drug Future. All rights reserved.Contact Us