【药物名称】
化学结构式(Chemical Structure):
参考文献No.41682
标题:Carboxylic and hydroxamic acid cpds. inhibiting metalloproteases, method for preparing same and pharmaceutical compsns. containing them
作者:Guilbaud, N.; Atassi, G.; Le Diguarher, T.; Bonnet, J.; Sabatini, M.; Casara, P.; Chollet, A.-M.; Pierre, A.; Tucker, G. (ADIR et Cie.)
来源:EP 1091937; FR 2780402; WO 0000473
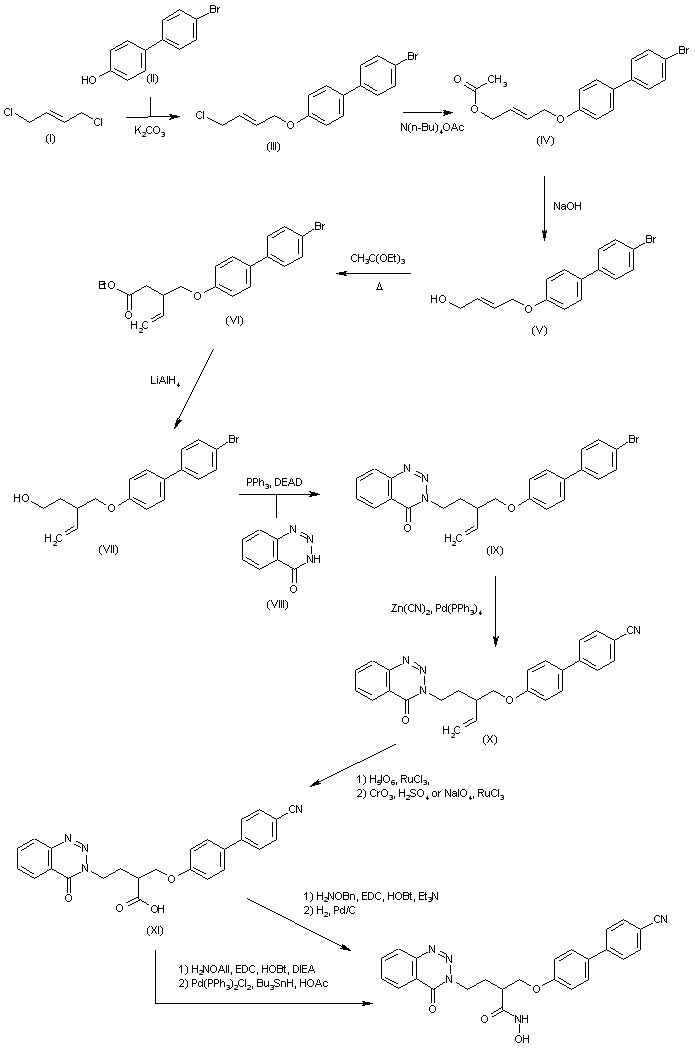
合成路线图解说明:

Condensation of 1,4-dichloro-2-butene (I) with phenolic derivative (II) in the presence of K2CO3 yields compound (III), which is then converted into acetate (IV) after treatment with ammonium tetrabutyl acetate in acetone. Saponification of (IV) with NaOH in MeOH affords alcohol (V), which is then subjected to Claisen rearrangement by refluxing in ethyl orthoacetate to provide ester (VI). Reduction of (VI) with LiAlH4 in Et2O gives alcohol (VII), which is then condensed with benzotriazine-4-one (VIII) by means of a Mitsunobu reaction with PPh3 and DEAD in THF to furnish compound (IX). Treatment of (IX) with Zn(CN)2 and Pd(PPh3)4 in DMF yields cyano derivative (X), which is then converted into carboxylic acid (XI) either by treatment with NaIO4 and RuCl3 in CCl4:ACN:H2O or by treatment with H5IO6 and RuCl3 followed by reaction with CrO3 and H2SO4. Finally, the target product is obtained by reaction of (XI) with protected hydroxylamine (either benzylhydroxylamine or allyl hydroxylamine) by means of EDC, HOBt, Et3N (or DIEA) in CH2Cl2 and removal of the protecting group (either by hydrogenation over Pd/C or by treatment with Pd(PPh3)2Cl2, Bu3SnH, HOAc in CH2Cl2, respectively).

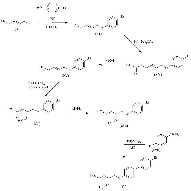
合成路线图解说明:

Alternatively, intermediate (VI) can be obtained as follows: 1,4-Dichloro-2-butene (I) is condensed with p-bromophenol (XII) by means of Cs2CO3 in acetonitrile to give compound (XIII), which is then converted into acetate (XIV) after treatment with ammonium tetrabutyl acetate in refluxing acetone. Saponification of (XIV) with NaOH in MeOH affords alcohol (XV), which is then subjected to Claisen rearrangement by refluxing in ethyl orthoacetate in propionic acid to provide ester (XVI). Reduction of (XVI) with LiAlH4 Et2O gives alcohol (XVII), which is finally condensed with 4-bromophenyltributyl tin (XVIII) by means of Pd(PPh3)4 and LiCl in toluene.

合成路线图解说明:

Itaconic acid mono-tert-butyl ester (IV) was prepared via esterification of itaconic acid (I) with methanol in the presence of an acidic ion exchange resin to form the mono-methyl ester (II), which was further converted to methyl tert-butyl ester (III) upon treatment with isobutylene and sulfuric acid. Subsequent hydrolysis of the methyl ester function of (III) using LiOH furnished mono-ester (IV). Reduction of acid (IV) to the primary alcohol (V) was accomplished using the NaBH4-I2 reagent. Michael addition of p-bromothiophenol (VI) to the unsaturated ester (V) provided the thioether adduct (VII). Mitsunobu coupling of alcohol (VII) with benzo[1,2,3]triazin-4-one (VIII) yielded the 3-substituted triazinone (IX). The biphenyl system (XI) was then obtained by Suzuki coupling of the aryl bromide (IX) with (4-chlorophenyl)tributyltin (X) in the presence of palladium tetrakis(triphenylphosphine) and lithium chloride. Trifluoroacetic acid-promoted cleavage of the tert-butyl ester group of (XI) gave acid (XII), which was subsequently coupled to O-allyl hydroxylamine (XIII) to afford the allyl hydroxamate (XIV). The O-allyl group was finally removed by treatment with tributyltin hydride and a palladium catalyst.

参考文献No.607948
标题:General synthesis of alpha-substituted 3-bisaryloxy propionic acid derivatives as specific MMP inhibitors
作者:Chollet, A.-M.; Le Diguarher, T.; Murray, L.; Bertrand, M.; Tucker, G.C.; Sabatini, M.; Pierr? A.; Atassi, G.; Bonnet, J.; Casara, P.
来源:Bioorg Med Chem Lett 2001,11(3),295
合成路线图解说明:

Condensation of 1,4-dichloro-2-butene (I) with phenolic derivative (II) in the presence of K2CO3 yields compound (III), which is then converted into acetate (IV) after treatment with ammonium tetrabutyl acetate in acetone. Saponification of (IV) with NaOH in MeOH affords alcohol (V), which is then subjected to Claisen rearrangement by refluxing in ethyl orthoacetate to provide ester (VI). Reduction of (VI) with LiAlH4 in Et2O gives alcohol (VII), which is then condensed with benzotriazine-4-one (VIII) by means of a Mitsunobu reaction with PPh3 and DEAD in THF to furnish compound (IX). Treatment of (IX) with Zn(CN)2 and Pd(PPh3)4 in DMF yields cyano derivative (X), which is then converted into carboxylic acid (XI) either by treatment with NaIO4 and RuCl3 in CCl4:ACN:H2O or by treatment with H5IO6 and RuCl3 followed by reaction with CrO3 and H2SO4. Finally, the target product is obtained by reaction of (XI) with protected hydroxylamine (either benzylhydroxylamine or allyl hydroxylamine) by means of EDC, HOBt, Et3N (or DIEA) in CH2Cl2 and removal of the protecting group (either by hydrogenation over Pd/C or by treatment with Pd(PPh3)2Cl2, Bu3SnH, HOAc in CH2Cl2, respectively).

Drug Information Express,Drug R&D,Chemical Database,Patent Search.
Copyright © 2006-2026 Drug Future. All rights reserved.Contact Us