【药物名称】TSRI-265
化学结构式(Chemical Structure):
参考文献No.608261
标题:Identification of a novel class of small-molecule antiangiogenic agents through the screening of combinatorial libraries which function by inhibiting the binding and localization of proteinase MMP2 to integrin alphavbeta3
作者:Boger, D.L.; Goldberg, J.; Silletti, S.; Kessler, T.; Cheresh, D.A.
来源:J Am Chem Soc 2001,123(7),1280
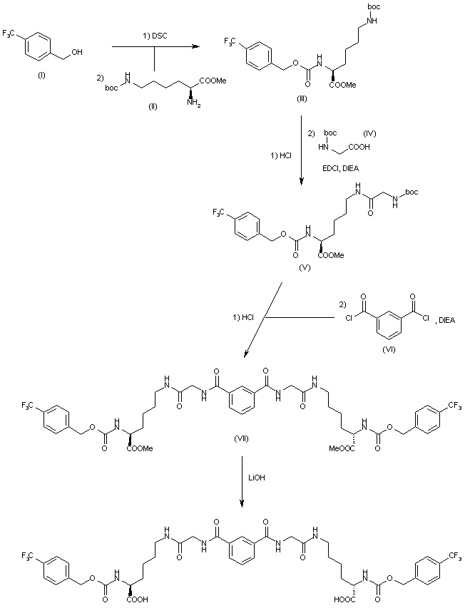
合成路线图解说明:

Reaction of 4-(trifluoromethyl)benzyl alcohol (I) with DSC followed by coupling with partially protected lysine (II) affords carbamate (III), which is converted into derivative (V) first by Boc removal with HCl/dioxane in dichloromethane followed by coupling with Boc-Gly-OH (IV) by means of EDCl and DIEA. Boc removal of compound (V) with HCl/dioxane in dichloromethane, followed by condensation with isophthaloyl dichloride (VI) by means of DIEA in DMF, gives compound (VII), which is finally subjected to methyl ester saponification with LiOH in THF/MeOH to provide the desired product.

Drug Information Express,Drug R&D,Chemical Database,Patent Search.
Copyright © 2006-2026 Drug Future. All rights reserved.Contact Us