【药物名称】RPR-132552
化学结构式(Chemical Structure):
参考文献No.46846
标题:Streptogramin derivs., preparation and compsns. containing them
作者:Barriere, J.-C.; Achard, D.; Grisoni, S.; Bacque, E.; Ribeill, Y.; Bouquerel, J.; Desmazeau, P.; Leconte, J.-P.; Ronan, B. (Aventis Pharma SA)
来源:EP 1187847; FR 2795733; WO 0102427
合成路线图解说明:

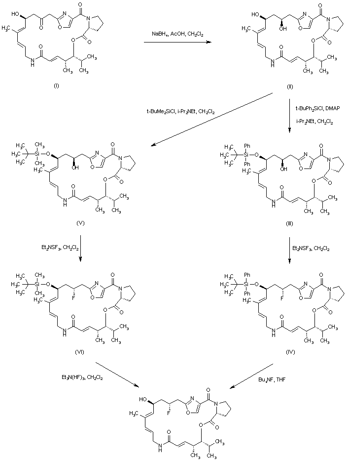
Reduction of the keto function of pristinamycine IIB (I) with NaBH4 in the presence of HOAc afforded diol (II). The 14-hydroxy group of (II) was then selectively protected as the tert-butyldiphenylsilyl ether, yielding (III). Subsequent fluorination of the 16-hydroxyl of (III) was achieved by treatment with diethylaminosulfur trifluoride. Finally, deprotection of the resultant silyl ether (IV) was effected by means of tetrabutylammonium fluoride in THF. A closely related method was based on the protection of (II) as the 14-O-tert-butyldimethylsilyl derivative (V). After fluorination of (V) with diethylaminosulfur trifluoride, the resultant fluoro silyl compound (VI) was deprotected with triethylamine trihydrofluoride.

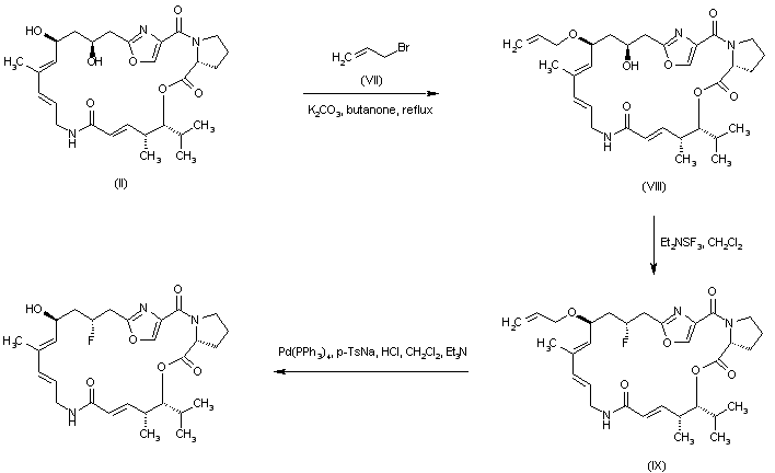
合成路线图解说明:

In an alternative procedure, diol (II) was selectively protected as the 14-allyl ether (VIII) by O-alkylation with allyl bromide (VII) in the presence of K2CO3. Displacement of the 16-hydroxyl of (VIII) with diethylaminosulfur trifluoride provided fluoride (IX). The O-allyl protecting group of (IX) was finally removed employing p-toluenesulfonic acid and palladium tetrakis(triphenylphosphine).

Drug Information Express,Drug R&D,Chemical Database,Patent Search.
Copyright © 2006-2026 Drug Future. All rights reserved.Contact Us