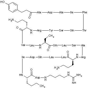
【药物名称】JI-38
化学结构式(Chemical Structure):
参考文献No.30954
标题:Heterocyclycarboxamides and other cpds. for the treatment of the cardiac arrhythmias
作者:Nadler, G.M.M.G. (GlaxoSmithKline plc)
来源:WO 9627595
合成路线图解说明:

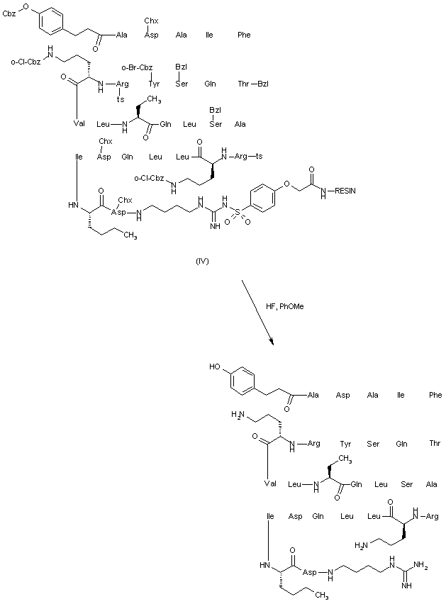
The known N-Boc-agmatine-N-G-sulfonylphenoxyacetic acid (I) was coupled to 4-methylbenzhydrylamine resin by using DIC and HOBt to afford resin (II). Subsequent cleavage of the Boc protecting group with trifluoroacetic acid yielded amine (III). The corresponding protected amino acids were assembled to the amine-bound resin (III) using solid-phase peptide synthesis methodology. Couplings were carried out with the symmetrical anhydride of the Boc-amino acids or with the preformed HOBt ester in the case of Boc-Asn, and each coupling was followed by Boc group cleavage with trifluoroacetic acid in CH2Cl2.

合成路线图解说明:

The final side chain-protected peptide resin (IV) was then simultaneously cleaved and deprotected by treatment with liquid hydrogen fluoride in the presence of anisole.

参考文献No.607882
标题:Synthesis and biological evaluation of superactive agonists of growth hormone-releasing hormone
作者:Izdebski, J.; Pinski, J.; Horvath, J.E.; Halmos, G.; Groot, K.; Schally, A.V.
来源:Proc Natl Acad Sci USA 1995,92(11),4872
合成路线图解说明:

The known N-Boc-agmatine-N-G-sulfonylphenoxyacetic acid (I) was coupled to 4-methylbenzhydrylamine resin by using DIC and HOBt to afford resin (II). Subsequent cleavage of the Boc protecting group with trifluoroacetic acid yielded amine (III). The corresponding protected amino acids were assembled to the amine-bound resin (III) using solid-phase peptide synthesis methodology. Couplings were carried out with the symmetrical anhydride of the Boc-amino acids or with the preformed HOBt ester in the case of Boc-Asn, and each coupling was followed by Boc group cleavage with trifluoroacetic acid in CH2Cl2.

合成路线图解说明:

The final side chain-protected peptide resin (IV) was then simultaneously cleaved and deprotected by treatment with liquid hydrogen fluoride in the presence of anisole.

Drug Information Express,Drug R&D,Chemical Database,Patent Search.
Copyright © 2006-2026 Drug Future. All rights reserved.Contact Us