【药物名称】B-4128
化学结构式(Chemical Structure):
参考文献No.35180
标题:Use of riminophenazines as antimicrobial and antimalarial agents
作者:Medlen, C.E.; Anderson, R.; Huygens, F. (University of Pretoria)
来源:WO 9745120
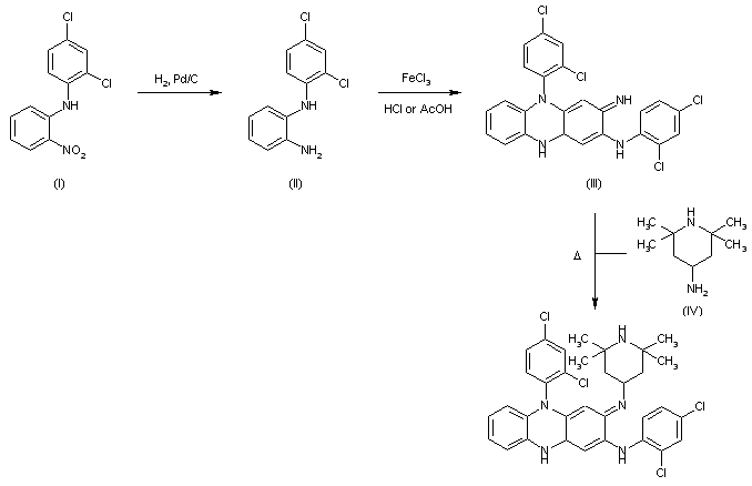
合成路线图解说明:

Hydrogenation of 1-anilino-2-nitrobenzene derivative (I) over Pd/C affords the corresponding diphenylamine (II), which is oxidatively condensed by means of FeCl3 and HCl or AcOH in EtOH to form the iminophenazine derivative (III). Finally, the target compound can be obtained by reaction of (III) with substituted amine (IV) in refluxing dioxane.

参考文献No.47843
标题:Use of riminophenzine for treating MDR resistance
作者:Anderson, R.; Medlen, C.E.; O'Sullivan, J.F. (Adcock Ingram Ltd.; University of Pretoria)
来源:EP 0676201; US 5763443
合成路线图解说明:

Hydrogenation of 1-anilino-2-nitrobenzene derivative (I) over Pd/C affords the corresponding diphenylamine (II), which is oxidatively condensed by means of FeCl3 and HCl or AcOH in EtOH to form the iminophenazine derivative (III). Finally, the target compound can be obtained by reaction of (III) with substituted amine (IV) in refluxing dioxane.

Drug Information Express,Drug R&D,Chemical Database,Patent Search.
Copyright © 2006-2026 Drug Future. All rights reserved.Contact Us