【药物名称】
化学结构式(Chemical Structure):
参考文献No.607342
标题:First anti-oestrogen in the cyclopentadienyl rhenium tricarbonyl series. Synthesis and study of antiproliferative effects
作者:Jaouen, G.; et al.
来源:Chem Commun (London) 2001,(4),383
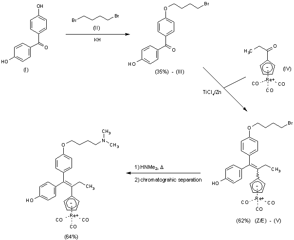
合成路线图解说明:

4,4'-Dihydroxybenzophenone (I) is condensed with 1,4-dibromobutane (II) by means of KH in THF/DMF to afford monoalkylated compound (III), which is then subjected to a McMurry cross-coupling reaction with the organometallic compound (IV) in refluxing THF in the presence of TiCl4 and Zn to provide the isomeric mixture (V). Finally, bromo compound (V) is converted into the target product by first heating with dimethylamine (HNMe2) in MeOH followed by isomer separation by means of preparative HPLC chromatography.

Drug Information Express,Drug R&D,Chemical Database,Patent Search.
Copyright © 2006-2026 Drug Future. All rights reserved.Contact Us