【药物名称】Fesoterodine, SPM-907
化学结构式(Chemical Structure):
参考文献No.50596
标题:Stable salts of novel derivs. of 3,3-diphenylpropylamines
作者:Meese, C. (Schwarz Pharma AG)
来源:DE 19955190; JP 2003514018; WO 0135957
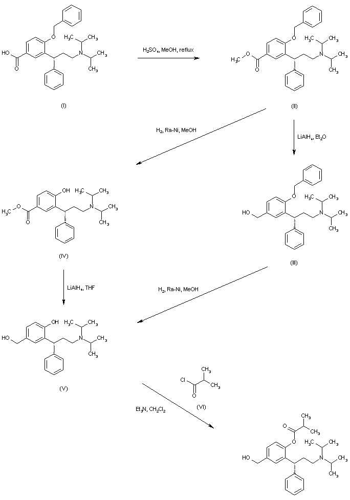
合成路线图解说明:

The known aminoacid (I) is esterified to (II) employing methanolic H2SO4. Ester group reduction in (II) with LiAlH4 yields alcohol (III). The O-benzyl group of (III) is then removed by catalytic hydrogenation in the presence of Raney nickel, providing phenol (V). Alternatively, compound (III) is converted into diol (V) by O-benzyl group hydrogenolysis, followed by LiAlH4 reduction of the resultant ester (IV). Finally, selective monoesterification of diol (V) with isobutyryl chloride (VI) and triethylamine gives rise to the title compound.

参考文献No.742529
标题:Fesoterodine
作者:Sorbera, L.A.; Casta馿r, J.; Leeson, P.A.
来源:Drugs Fut 2003,28(7),647
合成路线图解说明:

The known aminoacid (I) is esterified to (II) employing methanolic H2SO4. Ester group reduction in (II) with LiAlH4 yields alcohol (III). The O-benzyl group of (III) is then removed by catalytic hydrogenation in the presence of Raney nickel, providing phenol (V). Alternatively, compound (III) is converted into diol (V) by O-benzyl group hydrogenolysis, followed by LiAlH4 reduction of the resultant ester (IV). Finally, selective monoesterification of diol (V) with isobutyryl chloride (VI) and triethylamine gives rise to the title compound.

Drug Information Express,Drug R&D,Chemical Database,Patent Search.
Copyright © 2006-2026 Drug Future. All rights reserved.Contact Us