【药物名称】
化学结构式(Chemical Structure):
参考文献No.607120
标题:Reduction in glucose levels in STZ diabetic rats by 4-(2,2-dimethyl-1-oxopropyl)benzoic acid: A prodrug approach for targeting the liver
作者:Bebernitz, G.R.; Dain, J.G.; Deems, R.O.; Otero, D.A.; Simpson, W.R.; Strohschein, R.J.
来源:J Med Chem 2001,44(4),512
合成路线图解说明:

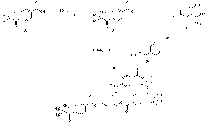
Treatment of 4-(2,2-dimethyl-1-oxopropyl)benzoic acid (I) with thionyl chloride afforded the corresponding acid chloride (II). The title triester was then obtained by acylation of 2-(hydroxymethyl)-1,4-butanediol (IV) with acid chloride (II) in the presence of DMAP or Et3N. The triol (IV) has been obtained by reduction of ethane-1,1,2-tricarboxylic acid triethyl ester (III) with LiAlH4 under standard conditions.

Drug Information Express,Drug R&D,Chemical Database,Patent Search.
Copyright © 2006-2026 Drug Future. All rights reserved.Contact Us