【药物名称】
化学结构式(Chemical Structure):
参考文献No.607113
标题:Structure-activity studies of substituted quinoxalinones as multiple-drug-resistance antagonists
作者:Lawrence, D.S.; Copper, J.E.; Smith, C.D.
来源:J Med Chem 2001,44(4),594
合成路线图解说明:

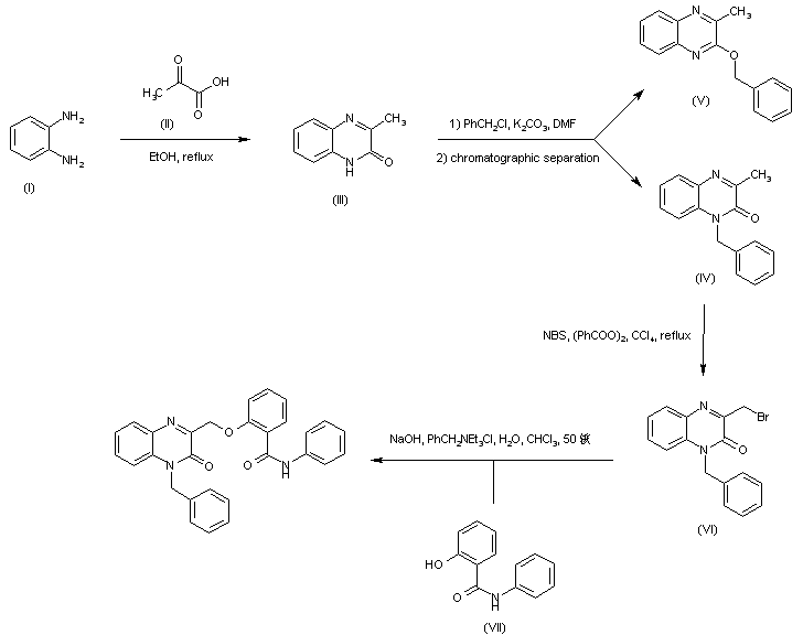
3-Methylquinoxalin-2-one (III) was prepared by condensation of 1,2-phenylenediamine (I) with pyruvic acid (II). Alkylation of (III) with benzyl chloride furnished a mixture of the desired N-benzyl quinoxalinone (IV) and the O-benzyl isomer (V). These compounds were separated by means of radial chromatography. Bromination of (IV) with N-bromosuccinimide in the presence of benzoyl peroxide furnished the bromomethyl derivative (VI). Finally, condensation of bromide (VI) with salicylanilide (VII) under phase-transfer conditions provided the title compound.

Drug Information Express,Drug R&D,Chemical Database,Patent Search.
Copyright © 2006-2026 Drug Future. All rights reserved.Contact Us