【药物名称】
化学结构式(Chemical Structure):
参考文献No.48810
标题:alpha-Ketoamide derivs.
作者:Jones, P.S.; Kay, P.B.; Wilson, F.X.; Raynham, T.M.; Hurst, D.N. (Hoffmann-La Roche, Inc.)
来源:US 6187905
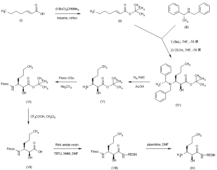
合成路线图解说明:

The resin-bound aminohydroxyacid (IX) was prepared as follows. 2-Heptenoic acid (I) was converted to the corresponding tert-butyl ester (II) upon treatment with dimethylformamide di-tert-butylacetal. Conjugate addition to (II) of the chiral amine (III) followed by oxidative treatment with (+)-(camphorsulfonyl)oxaziridine then furnished the amino hydroxyester (IV). Hydrogenolytic cleavage of the N-benzyl groups of (IV) produced the primary amine (V), which was subsequently protected as the N-Fmoc derivative (VI) by using O-Fmoc-hydroxysuccinimide. Tert-butyl ester cleavage in (VI) by means of trifluoroacetic acid gave carboxylic acid (VII). This was then attached to Rink resin using TBTU as the coupling reagent to yield resin (VIII). Deprotection of the N-Fmoc group of (VIII) with piperidine in DMF produced the resin-bound aminohydroxyacid (IX).

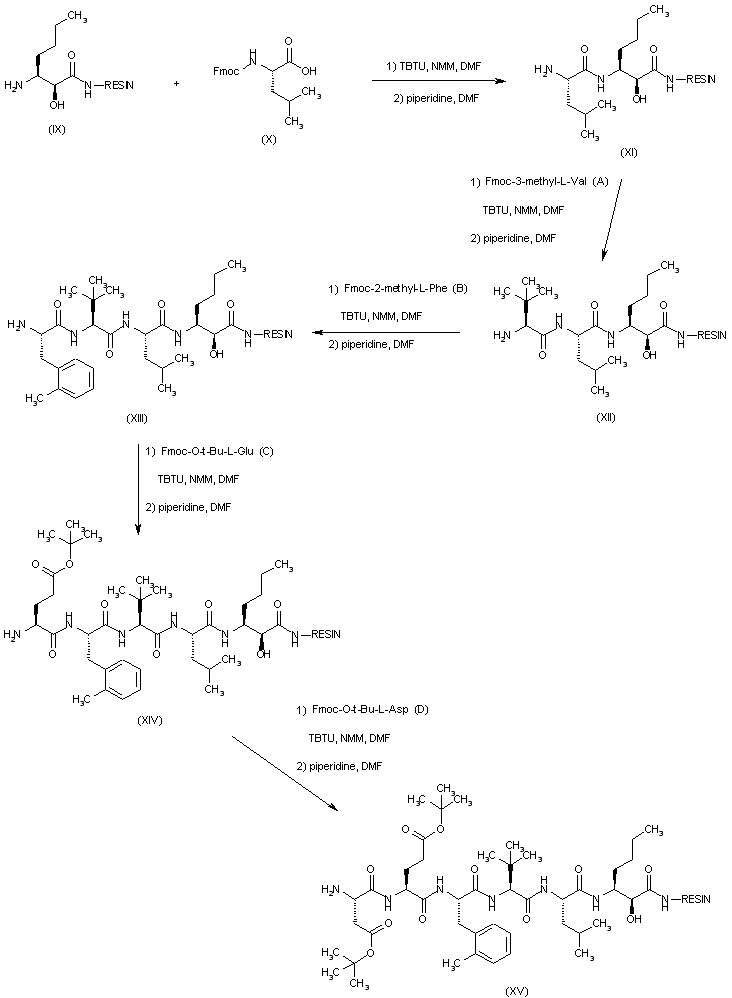
合成路线图解说明:

N-Fmoc-L-leucine (X) was coupled to the resin (IX) by means of TBTU to afford, after Fmoc deprotection with piperidine/DMF, the dipeptide-resin (XI). Sequential chain elongation by coupling with the following protected amino acids: Fmoc-3-methyl-L-valine (A), Fmoc-2-methyl-L-phenylalanine (B), Fmoc-L-glutamic gamma-tert-butyl ester (C), and Fmoc-L-aspartic beta-tert-butyl ester (D), followed by the corresponding Fmoc deprotection steps, furnished the peptide resins (XII), (XIII), (XIV) and (XV), respectively.

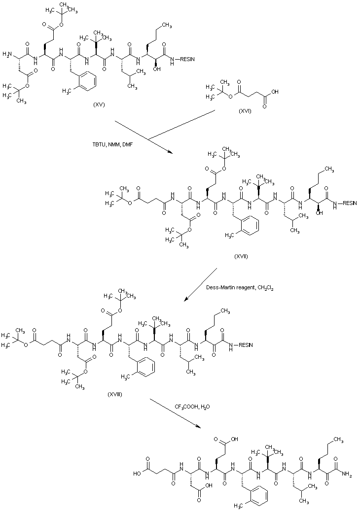
合成路线图解说明:

The peptide resin (XV) was then coupled with tert-butyl hydrogensuccinate (XVI) yielding resin (XVII). Further Dess-Martin oxidation of the alpha-hydroxyamide function of (XVII) gave rise to keto amide (XVIII). Finally, simultaneous cleavage from the resin and deprotection of the tert-butyl ester groups of (XVIII) by treatment with trifluoroacetic acid provided the title peptide amide.

Drug Information Express,Drug R&D,Chemical Database,Patent Search.
Copyright © 2006-2026 Drug Future. All rights reserved.Contact Us