【药物名称】RWJ-58259
化学结构式(Chemical Structure):
参考文献No.46701
标题:Novel indazole peptidomimetics as thrombin receptor antagonists
作者:Zhang, H.-C.; Pandey, A.; Scarborough, R.M.; Maryanoff, B.E. (COR Therapeutics, Inc.; Ortho-McNeil Pharmaceutical, Inc.)
来源:WO 0100656
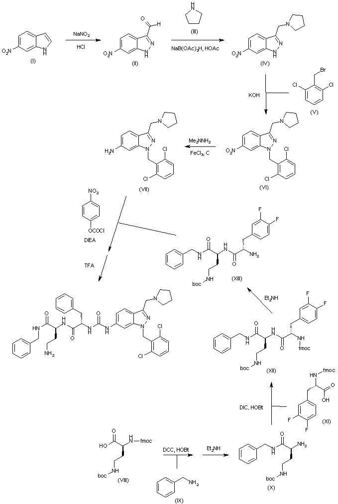
合成路线图解说明:

Treatment of 6-nitroindole (I) with aqueous NaNO2 and HCl affords 3-indazolecarboxaldehyde (II), which is then subjected to reductive amination with pyrrolidine (III) by means of NaBH(OAc)3 in dichloroethane/DMF in the presence of acetic acid to provide compound (IV). Alkylation of (IV) with 2,6-dichlorobenzyl bromide (V) by means of KOH in THF yields compound (VI), whose nitro group is reduced with dimethyl hydrazine (Me2NNH2), FeCl3 and charcoal in refluxing MeOH to furnish aminoindazole intermediate (VII). The synthesis of intermediate (XIII) is performed as follows: Coupling of protected diaminobutyric acid (VIII) with benzylamine (IX) by means of DCC and HOBt in acetonitrile, followed by Fmoc removal after treatment with diethylamine, gives derivative (X), which is then condensed with protected difluorophenylalanine (XI) by means of DIC and HOBt in acetonitrile to afford protected dipeptide (XII). Finally, intermediate (XIII) is obtained by Fmoc removal of (XII) by treatment with ethylamine. The desired product is finally obtained by condensation of intermediates (VII) and (XIII) by means of 4-nitrophenyl chloroformate and DIEA in dichloromethane, followed by Boc removal with TFA in dichloromethane.

参考文献No.611424
标题:Discovery and optimization of a novel series of thrombin receptor (PAR-1) antagonists: Potent, selective peptide mimetics based on indole and indazole templates
作者:Zhang, H.-C.; Derian, C.K.; Andrade-Gordon, P.; Hoekstra, W.J.; McComsey, D.F.; White, K.B.; Poulter, B.L.; Addo, M.F.; Cheung, W.M.; Damiano, B.P.; Oksenberg, D.; Reynolds, E.E.; Pandey, A.; Scarborough, R.M.; Maryanoff, B.E.
来源:J Med Chem 2001,44(7),1021
合成路线图解说明:

Treatment of 6-nitroindole (I) with aqueous NaNO2 and HCl affords 3-indazolecarboxaldehyde (II), which is then subjected to reductive amination with pyrrolidine (III) by means of NaBH(OAc)3 in dichloroethane/DMF in the presence of acetic acid to provide compound (IV). Alkylation of (IV) with 2,6-dichlorobenzyl bromide (V) by means of KOH in THF yields compound (VI), whose nitro group is reduced with dimethyl hydrazine (Me2NNH2), FeCl3 and charcoal in refluxing MeOH to furnish aminoindazole intermediate (VII). The synthesis of intermediate (XIII) is performed as follows: Coupling of protected diaminobutyric acid (VIII) with benzylamine (IX) by means of DCC and HOBt in acetonitrile, followed by Fmoc removal after treatment with diethylamine, gives derivative (X), which is then condensed with protected difluorophenylalanine (XI) by means of DIC and HOBt in acetonitrile to afford protected dipeptide (XII). Finally, intermediate (XIII) is obtained by Fmoc removal of (XII) by treatment with ethylamine. The desired product is finally obtained by condensation of intermediates (VII) and (XIII) by means of 4-nitrophenyl chloroformate and DIEA in dichloromethane, followed by Boc removal with TFA in dichloromethane.

Drug Information Express,Drug R&D,Chemical Database,Patent Search.
Copyright © 2006-2026 Drug Future. All rights reserved.Contact Us