【药物名称】501516, GW-516, GW-501516
化学结构式(Chemical Structure):
参考文献No.46648
标题:Thiazole and oxazole derivs. and their pharmaceutical use
作者:Maloney, P.R.; Gellibert, F.J.; Sierra, M.L.; Chao, E.Y.-H.; Haffner, C.D.; Willson, T.M.; Sznaidman, M.L.; Xu, H.E.; Lambert, M.H. III; Sternbach, D.D. (Glaxo Group Ltd.)
来源:WO 0100603
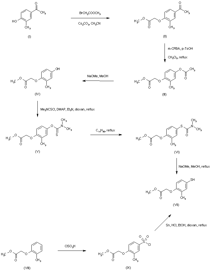
合成路线图解说明:

Alkylation of 4'-hydroxy-3'-methylacetophenone (I) with methyl bromoacetate in the presence of Cs2CO3 afforded the aryloxyacetate (II). Baeyer-Villiger rearrangement of the acetophenone moiety using meta-chloroperbenzoic acid produced the aryl ester (III), which was further converted to phenol (IV) by transesterification with methanolic NaOMe. Reaction of (IV) with dimethylthiocarbamoyl chloride gave the O-aryl thiocarbamate (V), which was thermally rearranged to the S-aryl thiocarbamate (VI) in refluxing tetradecane. Then, basic hydrolysis of the thiocarbamate function provided the thiophenol (VII). Alternatively, thiophenol (VII) was obtained by chlorosulfonation of ethyl (2-methylphenoxy)acetate (VIII), followed by reduction of the resultant sulfonyl chloride (IX) with Sn and HCl.

合成路线图解说明:

4-Trifluoromethylbenzamide (X) was converted to the corresponding thioamide (XI) by treatment with P4S10. Condensation of (XI) with ethyl 2-chloroacetoacetate (XII) provided thiazole (XIII). Subsequent reduction of the ester group of (XIII) with LiAlH4 gave alcohol (XIV). Conversion of (XIV) to the corresponding chloride (XV) was carried out by reaction with methanesulfonyl chloride and triethylamine. Chloride (XV) was then condensed with thiophenol (VII) in the presence of Cs2CO3 to yield thioether (XVI). The methyl ester group was finally hydrolyzed to the title acid employing LiOH.

Drug Information Express,Drug R&D,Chemical Database,Patent Search.
Copyright © 2006-2026 Drug Future. All rights reserved.Contact Us