【药物名称】
化学结构式(Chemical Structure):
参考文献No.46418
标题:Novel cpds. derived from nucleosides, preparation methods and pharmaceutical compsns. containing same
作者:Kraus, J.-L.; Clerc, T.; Salles, J.-P.; Vlieghe, P. (Laboratoires Laphal)
来源:FR 2794752; WO 0077020
合成路线图解说明:

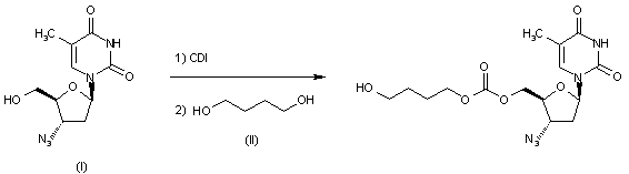
The desired product can be obtained by condensation of commercial AZT (I) with N,N?carbonyldiimidazole (CDI) in DMF followed by treatment with 1,4-butanediol (II) in the same solvent.

参考文献No.48811
标题:Novel esters derived from nucleosides, preparation methods and pharmaceutical compsns. containing them
作者:Vlieghe, P.; Salles, J.-P.; Clerc, T.; Kraus, J.-L. (Laboratoires Laphal)
来源:FR 2796384; WO 0104134
合成路线图解说明:

The desired product can be obtained by condensation of commercial AZT (I) with N,N?carbonyldiimidazole (CDI) in DMF followed by treatment with 1,4-butanediol (II) in the same solvent.

参考文献No.606269
标题:New 3'-azido-3'-deoxythymidin-5'-yl O-(omega-hydroxyalkyl) carbonate prodrugs: Synthesis and anti-HIV evaluation
作者:Vlieghe, P.; Bihel, F.; Clerc, T.; Pannecouque, C.; Witvrouw, M.; De clercq, E.; Salles, J.P.; Chermann, J.C.; Kraus, J.L.
来源:J Med Chem 2001,44(5),777
合成路线图解说明:

The desired product can be obtained by condensation of commercial AZT (I) with N,N?carbonyldiimidazole (CDI) in DMF followed by treatment with 1,4-butanediol (II) in the same solvent.

参考文献No.629927
标题:New 3'-azido-3' deoxythymidin-5'-yl O-(4-hydroxyalyl or -alkenyl or -alkylepoxide) carbonate prodrugs: Synthesis and anti-HIV evaluation
作者:Vlieghe, P.; Clerc, T.; Pannecouque, C.; Witvrouw, M.; De Clercq, E.; Salles, J.-P.; Kraus, J.-L.
来源:J Med Chem 2001,44(18),3014
合成路线图解说明:

The desired product can be obtained by condensation of commercial AZT (I) with N,N?carbonyldiimidazole (CDI) in DMF followed by treatment with 1,4-butanediol (II) in the same solvent.

Drug Information Express,Drug R&D,Chemical Database,Patent Search.
Copyright © 2006-2026 Drug Future. All rights reserved.Contact Us