【药物名称】
化学结构式(Chemical Structure):
参考文献No.606960
标题:3,28-Di-O-(dimethylsuccinyl)-betulin isomers as anti-HIV agents
作者:Kashiwada, Y.; Chiyo, J.; Ikeshiro, Y.; Nagao, T.; Okabe, H.; Cosentino, L.M.; Fowke, K.; Lee, K.H.
来源:Bioorg Med Chem Lett 2001,11(2),183
合成路线图解说明:

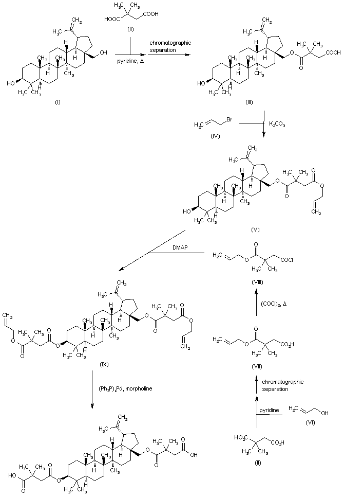
Reaction of betulin (I) and 2,2-dimethylsuccinic acid (II) in refluxing pyridine, followed by HPLC separation of the two products obtained, affords derivative (III). Protection of the carboxylic group of (III) is then performed by formation of the corresponding allyl ester derivative (V) by reaction with allyl bromide (IV) and K2CO3 in acetone. Separately, 2,2-dimethylsuccinic acid (II) is treated with allyl alcohol (VI) in refluxing pyridine to give an isomeric mixture of compounds from which allyl succinate derivative (VII) is chromatographically isolated. Formation of the corresponding acid chloride (VIII) is finally performed by treatment of (VII) with (COCl)2 in refluxing benzene. Condensation between alcohol (V) and acid chloride (VIII) by means of DMAP in CH2Cl2 provides compound (IX), which is finally converted into the target product by removal of the allyl protecting groups by means of Pd(Ph3P)4 and morpholine.

Drug Information Express,Drug R&D,Chemical Database,Patent Search.
Copyright © 2006-2026 Drug Future. All rights reserved.Contact Us