【药物名称】
化学结构式(Chemical Structure):
参考文献No.606948
标题:3-Deoxy-3-substituted-D-myo-inositol imidazolyl ether lipid phosphates and carbonate as inhibitors of the phosphatidylinositol 3-kinase pathway and cancer cell growth
作者:Hu, Y.; Meuillet, E.J.; Berggren, M.; Powis, G.; Kozikowski, A.P.
来源:Bioorg Med Chem Lett 2001,11(2),173
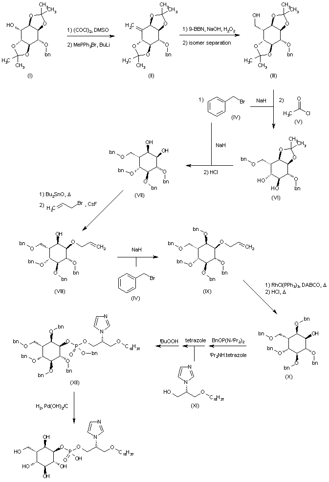
合成路线图解说明:

Swern oxidation of derivative (I) by means of oxalyl chloride and DMSO in CH2Cl2 followed by Wittig reaction with MePPh3Br and BuLi in THF yields alkene (II), which is then converted into alcohol (III) by hydroboration with 9-BBN in EtOH and oxidation with NaOH and H2O2 in THF followed by isomer separation. Benzylation of (III) by means of NaH and BnBr (IV) in DMF, followed by hydrolysis with acetyl chloride (V) in CH2Cl2/MeOH, affords derivative (VI), which is further benzylated with BnBr (IV) and NaH in DMF and then hydrolyzed with HCl in MeOH to provide diol (VII). Derivative (VII) is O-stannylated by means of Bu2SnO in refluxing toluene and selectively allylated with allyl bromide and CsF to furnish compound (VIII), which is then benzylated with BnBr (IV) and NaH in DMF to give completely protected derivative (IX). Removal of the allyl group of (IX) is then performed by catalytic treatment with RhCl(PPh3)3 and DABCO in refluxing EtOH, and subsequent hydrolysis with HCl in refluxing acetone yields inositol derivative (X). Conversion of (X) into protected phosphatidylinositol (XII) is then performed by a standard phosphitylation protocol with BnOP(N-i-Pr2)2 and diisopropylamine-tetrazole, followed by treatment with the imidazolyl derivative (XI) in the presence of tetrazole and final adjustment of the oxidation state of the P atom by means of tert-BuOOH. Finally, hydrogenolysis of the benzyl groups of compound (XII) with Pd(OH)2/C in tert-butanol gives the desired phosphate.

参考文献No.618208
标题:3-(Hydroxymethyl)-bearing phosphatidylinositol ether lipid analogues and carbonate surrogates block PI3-K, Akt, and cancer cell growth
作者:Hu, Y.; Qiao, L.; Wang, S.; Rong, S.B.; Meuille,t E.J.; Berggren, M.; Gallegos, A.; Powis, G.; Kozikowski, A.P.
来源:J Med Chem 2000,43(16),3045
合成路线图解说明:

Swern oxidation of derivative (I) by means of oxalyl chloride and DMSO in CH2Cl2 followed by Wittig reaction with MePPh3Br and BuLi in THF yields alkene (II), which is then converted into alcohol (III) by hydroboration with 9-BBN in EtOH and oxidation with NaOH and H2O2 in THF followed by isomer separation. Benzylation of (III) by means of NaH and BnBr (IV) in DMF, followed by hydrolysis with acetyl chloride (V) in CH2Cl2/MeOH, affords derivative (VI), which is further benzylated with BnBr (IV) and NaH in DMF and then hydrolyzed with HCl in MeOH to provide diol (VII). Derivative (VII) is O-stannylated by means of Bu2SnO in refluxing toluene and selectively allylated with allyl bromide and CsF to furnish compound (VIII), which is then benzylated with BnBr (IV) and NaH in DMF to give completely protected derivative (IX). Removal of the allyl group of (IX) is then performed by catalytic treatment with RhCl(PPh3)3 and DABCO in refluxing EtOH, and subsequent hydrolysis with HCl in refluxing acetone yields inositol derivative (X). Conversion of (X) into protected phosphatidylinositol (XII) is then performed by a standard phosphitylation protocol with BnOP(N-i-Pr2)2 and diisopropylamine-tetrazole, followed by treatment with the imidazolyl derivative (XI) in the presence of tetrazole and final adjustment of the oxidation state of the P atom by means of tert-BuOOH. Finally, hydrogenolysis of the benzyl groups of compound (XII) with Pd(OH)2/C in tert-butanol gives the desired phosphate.

Drug Information Express,Drug R&D,Chemical Database,Patent Search.
Copyright © 2006-2026 Drug Future. All rights reserved.Contact Us