【药物名称】GW-475151A(hydrochloride), GW-475151
化学结构式(Chemical Structure):
参考文献No.34631
标题:Pyrrolopyrrolone derivs. as inhibitors of neutrophil elastase
作者:Dowle, M.D.; Finch, H.; Harrison, L.A.; Inglis, G.G.A.; Johnson, M.R.; Macdonald, S.J.F.; Shah, P.; Smith, R.A. (Glaxo Wellcome plc)
来源:EP 0891362; JP 2000507950; US 5994344; WO 9736903
合成路线图解说明:

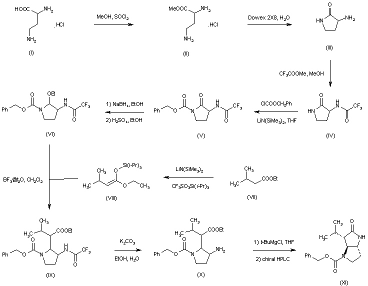
Synthesis of intermediate (XI) of Scheme 25142902e: Racemic 2,4-diaminobutyric acid (I) was esterified in MeOH in the presence of SOCl2. The resulting methyl ester (II) was cyclized using Dowex 2x8-400 resin to give 3-amino-2-pyrrolidinone (III), which was converted to the trifluoroacetamide (IV) using methyl trifluoroacetate in MeOH. The lactam nitrogen of (IV) was then protected with benzyl chloroformate and lithium hexamethyldisilazide yielding (V). Reduction of (V) with NaBH4, followed by treatment with ethanolic H2SO4 provided ethoxypyrrolidine (VI). Ethyl isovalerate (VII) was converted to the silyl enolate (VIII) employing lithium hexamethyldisilazide and silyl triflate. Coupling of (VIII) with ethoxypyrrolidine (VI) in the presence of BF3-Et2O provided (IX). After hydrolysis of the trifluoroacetamide group of (IX) with K2CO3 yielding (X), its cyclization by means of tert-butylmagnesium chloride yielded the pyrrolopyrrolone system. Separation of the required (3aS, 6aR)-isomer (XI) was achieved by chiral HPLC.

合成路线图解说明:

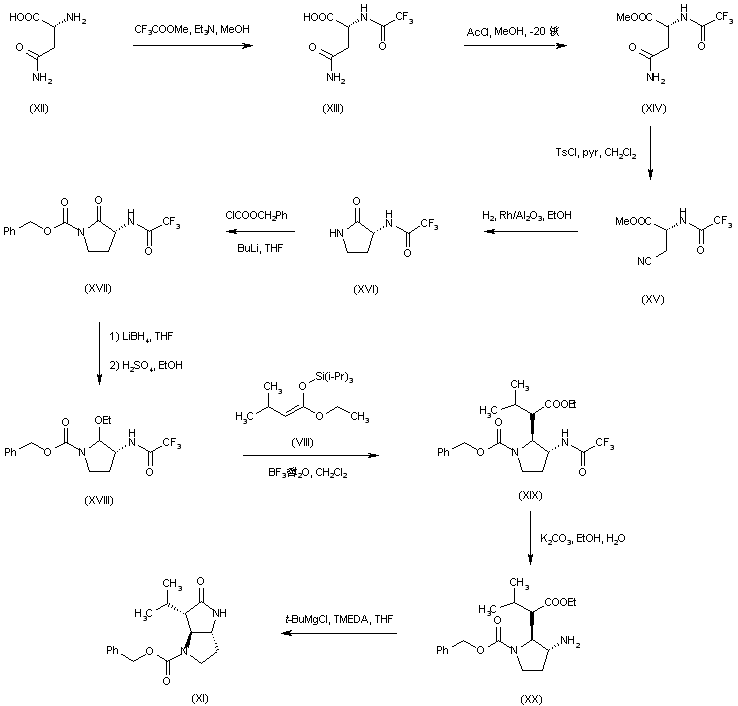
Alternative synthesis of intermediate (XI) of Scheme 25142902e: In an alternative procedure, (R)-asparagine (XII) was protected as the trifluoroacetamide (XIII) and then esterified by means of AcCl in MeOH yielding (XIV). Dehydration of the amide function of (XIV) employing tosyl chloride and pyridine produced nitrile (XV). The catalytic hydrogenation of (XV) with concomitant cyclization of the intermediate amine generated the chiral pyrrolidinone (XVI), which was protected with benzyl chloroformate and n-BuLi to give (XVII). This was converted to the intermediate (XI) by means of a sequence analogous to that for the racemic pyrrolidinone (IV).

合成路线图解说明:

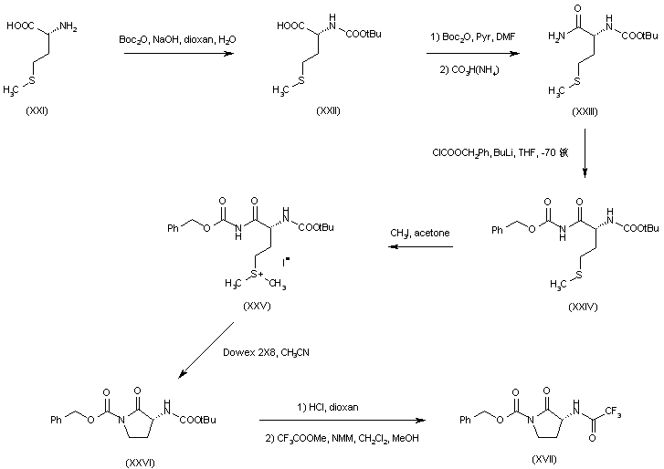
Alternative synthesis of intermediate (XVII) of Scheme 25142902b: In a further procedure, (R)-methionine (XXI), was protected as the Boc derivative (XXII). Subsequent treatment of (XXII) with Boc2O and then with ammonium bicarbonate yielded amide (XXIII), which was condensed with benzyl chloroformate to produce imide (XXIV). The S-alkylation with CH3I yielded sulfonium salt (XXV), which was then cyclized to pyrrolidinone (XXVI) in the presence of Dowex 2x8-400 resin. Acid deprotection of the Boc group of (XXVI), followed by condensation with methyl trifluoroacetate furnished intermediate (XVII) already described in Scheme 25142902b.

合成路线图解说明:

Synthesis of intermediate (XXX) of Scheme 25142902e: Alkylation of piperidine (XXVII) with ethyl 4-bromocrotonate (XXVIII) afforded tertiary amine (XXIX). Acid hydrolysis of the ethyl ester of (XXIX) then provided carboxylic acid (XXX).

合成路线图解说明:

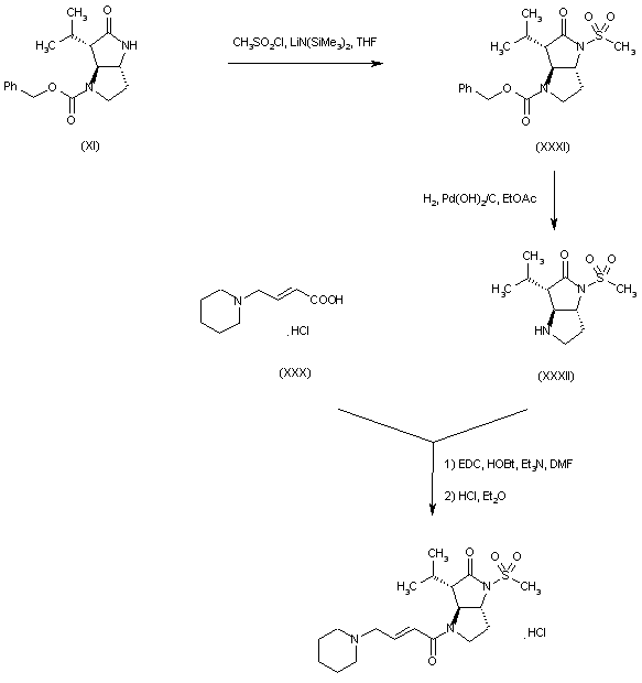
The intermediate pyrrolopyrrolone (XI) was converted to the methanesulfonamide (XXXI) upon treatment with mesyl chloride and lithium hexamethyldisilazide. Removal of the benzyloxycarbonyl group of (XXXI) by hydrogenolysis over Pd(OH)2 produced amine (XXXII). This was coupled with piperidinylbutenoic acid (XXX) using EDC and HOBt to yield the target compound, which was finally converted to the hydrochloride salt.

合成路线图解说明:

Synthesis of silyl enol ether intermediate (XIII): The reaction of ethyl isovalerate (XII) with triisopropylsilyl trifluoromethanesulfonate and 1,3-dimethylperhydropyrimidin-2-one by means of LiHMDS in THF gives the target silyl enol ether (XIII).

合成路线图解说明:

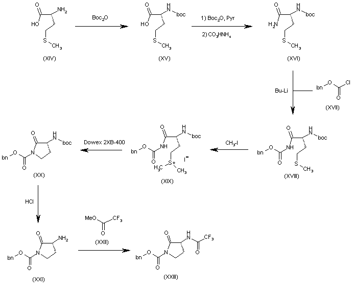
The reaction of D-methionine (XIV) with Boc2O in dioxane gives the N-protected methionine (XV), which is treated with Boc2O, pyridine and ammonium bicarbonate to yield the methioninamide (XVI). The reaction of (XVI) with benzyl chloroformate (XVII) by means of BuLi in DMF/pyridine affords the carbamate (XVIII), which is treated with methyl iodide in acetone to provide the sulfonium salt (XIX). The cyclization of (XIX) by means of Dowex 2XB-400 (OH form) in acetonitrile gives the N-protected pyrrolidinone (XX), which is deprotected with HCl in dioxane to yield the amino compound (XXI). Finally, this compound is acylated with methyl trifluoroacetate (XXII) and NMM in dichloromethane to afford the target pyrrolidinone intermediate (XXIII).

合成路线图解说明:

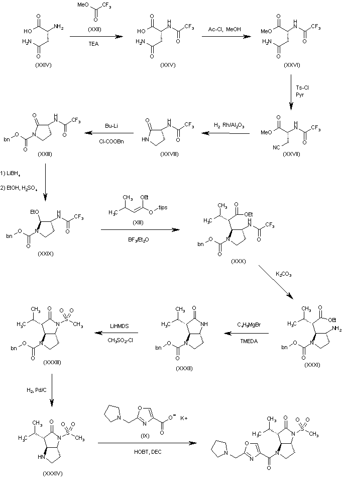
The reaction of D-asparagine (XXIV) with methyl trifluoroacetate (XXII) in methanol gives N-(trifluoroacetyl)-D-asparagine (XXV), which is esterified with MeOH and Ac-Cl, yielding the methyl ester (XXVI). The reaction of (XXVI) with TsCl and pyridine in dichloromethane affords the 3-cyanopropionic ester (XXVII), which is cyclized by hydrogenation over a Rh/Al2O3 catalyst in ethanol to provide the pyrrolidinone (XXVIII). Finally, this compound is condensed with benzyl chloroformate and BuLi in THF to furnish the target pyrrolidinone intermediate (XXIII). Assembly of the target compound: The reductive methylation of intermediate pyrrolidinone (XXIII) by means of LiBH4 in THF, followed by treatment with EtOH and conc. H2SO4, gives 2-ethoxy-3(R)-(trifluoroacetamido)pyrrolidine-1-carboxylic acid benzyl ester (XXIX), which is condensed with the intermediate silyl enol ether (XIII) by means of BF3/Et2O in dichloromethane to yield the adduct (XXX). The deprotection of the amino group of (XXX) with K2CO3 in ethanol/water yields the aminopyrrolidine (XXXI), which is cyclized by means of t-butylmagnesium bromide and TMEDA in THF to afford the bicyclic compound (XXXII). The reaction of the free NH group of (XXXII) with methanesulfonyl chloride and LiHMDS in THF provides the cyclic methanesulfonamide (XXXIII), which is decarboxylated by hydrogenation with H2 over Pd/C in dioxane/ethyl acetate to give the bipyrrolidine derivative (XXXIV). Finally, this compound is condensed with the oxazole intermediate (IX) by means of HOBT and DEC in acetonitrile.

参考文献No.47438
标题:Process for preparing oxazole derivs.
作者:Hermitage, S.A.; Cardwell, K.S. (Glaxo Group Ltd.)
来源:WO 0053589
合成路线图解说明:

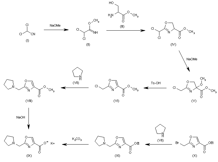
Synthesis of oxazole intermediate (IX): The reaction of 2,2-dichloroacetonitrile (I) with sodium methoxide in methanol gives methyl 2,2-dichloroethanimidoate (II), which is cyclized with DL-serine methyl ester (III) in methanol to yield oxazoline (IV). The reaction of (IV) with sodium methoxide in methanol affords 2-(chloromethyl)-4-methoxy-4,5-dihydrooxazole-4-carboxylic acid methyl ester (V), which is treated with Ts-OH in refluxing toluene to provide the chloromethyloxazole (VI). The reaction of (VI) with pyrrolidine (VII) in toluene gives the 2-(1-pyrrolidinylmethyl)oxazole-4-carboxylic acid methyl ester (VIII), which is hydrolyzed with K2CO3 to yield the target oxazole (IX). Alternatively, the reaction of 2-(bromomethyl)oxazole-4-carboxylic acid ethyl ester (X) with pyrrolidine (VII) gives the precursor (XI), which is hydrolyzed with K2CO3 as before to afford the target oxazole intermediate (IX).

合成路线图解说明:

The reaction of D-asparagine (XXIV) with methyl trifluoroacetate (XXII) in methanol gives N-(trifluoroacetyl)-D-asparagine (XXV), which is esterified with MeOH and Ac-Cl, yielding the methyl ester (XXVI). The reaction of (XXVI) with TsCl and pyridine in dichloromethane affords the 3-cyanopropionic ester (XXVII), which is cyclized by hydrogenation over a Rh/Al2O3 catalyst in ethanol to provide the pyrrolidinone (XXVIII). Finally, this compound is condensed with benzyl chloroformate and BuLi in THF to furnish the target pyrrolidinone intermediate (XXIII). Assembly of the target compound: The reductive methylation of intermediate pyrrolidinone (XXIII) by means of LiBH4 in THF, followed by treatment with EtOH and conc. H2SO4, gives 2-ethoxy-3(R)-(trifluoroacetamido)pyrrolidine-1-carboxylic acid benzyl ester (XXIX), which is condensed with the intermediate silyl enol ether (XIII) by means of BF3/Et2O in dichloromethane to yield the adduct (XXX). The deprotection of the amino group of (XXX) with K2CO3 in ethanol/water yields the aminopyrrolidine (XXXI), which is cyclized by means of t-butylmagnesium bromide and TMEDA in THF to afford the bicyclic compound (XXXII). The reaction of the free NH group of (XXXII) with methanesulfonyl chloride and LiHMDS in THF provides the cyclic methanesulfonamide (XXXIII), which is decarboxylated by hydrogenation with H2 over Pd/C in dioxane/ethyl acetate to give the bipyrrolidine derivative (XXXIV). Finally, this compound is condensed with the oxazole intermediate (IX) by means of HOBT and DEC in acetonitrile.

参考文献No.47447
标题:Pyrrolopyrrolone derivs. as inhibitors of neutrophil elastase
作者:Johnson, M.R.; Shah, P.; MacDonald, S.J.F.; Harrison, L.A.; Finch, H.; Smith, R.A.; Inglis, G.G.A.; Clarke, G.D.E.; Dowle, M.D. (Glaxo Group Ltd.)
来源:WO 9912933
合成路线图解说明:

Synthesis of oxazole intermediate (IX): The reaction of 2,2-dichloroacetonitrile (I) with sodium methoxide in methanol gives methyl 2,2-dichloroethanimidoate (II), which is cyclized with DL-serine methyl ester (III) in methanol to yield oxazoline (IV). The reaction of (IV) with sodium methoxide in methanol affords 2-(chloromethyl)-4-methoxy-4,5-dihydrooxazole-4-carboxylic acid methyl ester (V), which is treated with Ts-OH in refluxing toluene to provide the chloromethyloxazole (VI). The reaction of (VI) with pyrrolidine (VII) in toluene gives the 2-(1-pyrrolidinylmethyl)oxazole-4-carboxylic acid methyl ester (VIII), which is hydrolyzed with K2CO3 to yield the target oxazole (IX). Alternatively, the reaction of 2-(bromomethyl)oxazole-4-carboxylic acid ethyl ester (X) with pyrrolidine (VII) gives the precursor (XI), which is hydrolyzed with K2CO3 as before to afford the target oxazole intermediate (IX).

合成路线图解说明:

The reaction of D-asparagine (XXIV) with methyl trifluoroacetate (XXII) in methanol gives N-(trifluoroacetyl)-D-asparagine (XXV), which is esterified with MeOH and Ac-Cl, yielding the methyl ester (XXVI). The reaction of (XXVI) with TsCl and pyridine in dichloromethane affords the 3-cyanopropionic ester (XXVII), which is cyclized by hydrogenation over a Rh/Al2O3 catalyst in ethanol to provide the pyrrolidinone (XXVIII). Finally, this compound is condensed with benzyl chloroformate and BuLi in THF to furnish the target pyrrolidinone intermediate (XXIII). Assembly of the target compound: The reductive methylation of intermediate pyrrolidinone (XXIII) by means of LiBH4 in THF, followed by treatment with EtOH and conc. H2SO4, gives 2-ethoxy-3(R)-(trifluoroacetamido)pyrrolidine-1-carboxylic acid benzyl ester (XXIX), which is condensed with the intermediate silyl enol ether (XIII) by means of BF3/Et2O in dichloromethane to yield the adduct (XXX). The deprotection of the amino group of (XXX) with K2CO3 in ethanol/water yields the aminopyrrolidine (XXXI), which is cyclized by means of t-butylmagnesium bromide and TMEDA in THF to afford the bicyclic compound (XXXII). The reaction of the free NH group of (XXXII) with methanesulfonyl chloride and LiHMDS in THF provides the cyclic methanesulfonamide (XXXIII), which is decarboxylated by hydrogenation with H2 over Pd/C in dioxane/ethyl acetate to give the bipyrrolidine derivative (XXXIV). Finally, this compound is condensed with the oxazole intermediate (IX) by means of HOBT and DEC in acetonitrile.

参考文献No.605984
标题:An efficient, practical approach to the synthesis of 2,4-disubstituted thiazoles and oxazoles: Application to the synthesis of GW475151
作者:Hermitage, S.A.; et al.
来源:Org Process Res Dev 2001,5(1),37
合成路线图解说明:

Synthesis of oxazole intermediate (IX): The reaction of 2,2-dichloroacetonitrile (I) with sodium methoxide in methanol gives methyl 2,2-dichloroethanimidoate (II), which is cyclized with DL-serine methyl ester (III) in methanol to yield oxazoline (IV). The reaction of (IV) with sodium methoxide in methanol affords 2-(chloromethyl)-4-methoxy-4,5-dihydrooxazole-4-carboxylic acid methyl ester (V), which is treated with Ts-OH in refluxing toluene to provide the chloromethyloxazole (VI). The reaction of (VI) with pyrrolidine (VII) in toluene gives the 2-(1-pyrrolidinylmethyl)oxazole-4-carboxylic acid methyl ester (VIII), which is hydrolyzed with K2CO3 to yield the target oxazole (IX). Alternatively, the reaction of 2-(bromomethyl)oxazole-4-carboxylic acid ethyl ester (X) with pyrrolidine (VII) gives the precursor (XI), which is hydrolyzed with K2CO3 as before to afford the target oxazole intermediate (IX).

Drug Information Express,Drug R&D,Chemical Database,Patent Search.
Copyright © 2006-2026 Drug Future. All rights reserved.Contact Us